Russian Federation
Sevastopol, Russian Federation
Abstract Purpose. The purpose of the work is to research the suspended matter (SM) flux in the deep part of the Black Sea, its variability and transformation of composition under the anaerobic conditions based on the data of 2021–2022. Methods and Results. The data were obtained using the sediment traps installed at five horizons at the transect Cape Chersonesos – Bosphorus Strait in the Black Sea. The automatic deep-sea sedimentation observatory (AGOS) was installed during the 119th cruise of the RV «Professor Vodyanitsky» and lifted during the 124th cruise in 2022. The research covered all the seasons in 2021–2022. To collect the material, two types of traps were included in AGOS: to determine the SM vertical distribution and to study its seasonal variation. The processing was carried out by the method common for all the samples, including filtration, drying, gravimetric analysis for calculating suspended particulate matter fluxes, as well as determination of the organic and inorganic carbon contents by the coulometric titration method in the laboratory of Marine Hydrophysical Institute of RAS. The study made it possible to obtain the data both on the vertical distribution of SM flux and its seasonal variation. The patterns of distribution of SM, as well as organic and inorganic carbon involved in its composition were revealed. Conclusions. The dynamics of SM and carbon fluxes are determined by different processes including the physical and biogeochemical ones. The SM fluxes are distributed unevenly over depth and change seasonally in course of a year. Analysis of the integral trap data shows that at different depths the SM flux changes within 62–99 mg·m‒2·day‒1. At depths 218 and 1568 m it reaches its peak intensity. Its decrease depends on various biogeochemical processes, namely dissolution, oxidation and mineraliza-tion. The increase of SM flux, in its turn, can be related both to the deep-sea currents, and to the physical and chemical sorption processes. The seasonal changes in SM flux are represented by two peaks: its maximum falls on the period July – September and its minimum – on March. The carbon concentration in SM also varies with depth and seasonal variations which are conditioned mainly by the biological processes. The lag between the peaks of coccolithophore bloom at the surface and the maximum values of the inorganic carbon flux recorded by the trap can be explained by the sedimentation rates.
suspended matter, organic carbon, inorganic carbon, carbonates, sediment traps, coccolith-ophores, Black Sea
Введение
Взвешенное вещество (ВВ) является важным компонентом морской эко-системы. Формирование его состава происходит преимущественно в верхней толще вод в результате комплексного воздействия веществ различных гео-сфер – литосферы, атмосферы, гидросферы, биосферы [1]. Взвешенное веще-ство включает следующие составляющие: литогенную (компоненты терриген-ного и абиогенного происхождения, поступают с речным стоком, в результате механических разрушений берегов и эолового переноса, а также благодаря та-янию льда) и биогенную (остатки живых и отмерших организмов, образуется из органического вещества (Сорг), аморфного кремнезема (SiO2био) и взвешен-ного карбоната кальция (СаСO3), которые входят в состав планктона и его дет-рита) [2–4]. При смене окислительно-восстановительных условий, как правило, проис-ходит изменение соотношения и содержания литогенной и биогенной состав-ляющих ВВ. Качественный и количественный состав ВВ отражает процессы его трансформации в водной толще. Так как углерод является ключевым ком-понентом ВВ, исследование его органической и неорганической форм, а также их соотношения позволяет изучить доминирующие механизмы цикла углерода в гидросфере. Содержание органического углерода (Сорг) во взвешенном веще-стве отражает продуктивность экосистемы, интенсивность протекания в ней биохимических процессов и устойчивость к воздействиям на нее различных природных и антропогенных факторов [5, 6]. Также весомый вклад во взве-шенное вещество вносят карбонаты – как терригенные, вынесенные с суши, так и автохтонные, образованные в водной толще [7]. Неорганический углерод (Скарб) является структурным компонентом карбонатных минералов, представ-ленных во взвеси биогенными и хемогенными образованиями. Согласно данным многолетних исследований фитопланктона, основными карбонат-концентрирующими биогенными частицами в составе ВВ в Черном море являются кокколитофориды Emiliania huxleyi [8, 9]. Эти водоросли слу-жат посредником при перемещении Скарб из атмосферы и эвфотической зоны в донные отложения, так как в период окончания «цветения» кокколиты ча-стично оседают на дно и являются основным компонентом известковых илов [8]. В водной толще тонкодисперсные микро- и наночастицы ВВ агрегируются под влиянием биологических (фильтрация воды организмами зоопланктона с превращением осадочного вещества в пеллеты и аморфные комки (морской снег)), а также физико-химических (коагуляция и флокуляция коллоидов) про-цессов. Вследствие этого формируются вертикальные потоки осадочного ве-щества, которое трансформируется при прохождении водной толщи и в конеч-ном счете подвергается процессу захоронения в виде донных отложений [7]. Соответственно, исследование вертикального распределения ВВ представляет собой основу для понимания процессов современного осадконакопления [1].
Таким образом, исследование потока ВВ и механизмов его образования и трансформации является актуальной океанографической задачей. До последнего времени исследования ВВ в российском секторе Черного моря носили эпизодический характер [6, 10] и выполнялись преимущественно в шельфовых районах [11]. Наиболее полно обзор по изучению ВВ и его потока в Черном море представлен в монографии [1]. Современные исследования ВВ основаны преимущественно на спутниковых данных [3–5, 12], при этом у та-кого подхода имеется ряд недостатков, в частности отсутствие возможности изучать вертикальный профиль ВВ и процессы его трансформации.
В 2015 г. сотрудниками Института океанологии РАН положено начало ис-следованиям вертикального профиля и внутригодовой изменчивости взвешен-ного вещества в открытой части Черного моря [1]. В глубоководной части были установлены седиментационные ловушки в составе автоматической глу-боководной седиментационной обсерватории (АГОС), концепция которой раз-работана и внедрена в практику седиментологических исследований академи-ком А. П. Лисицыным [13, 14].
Концепция АГОС подразумевает возможность использования комплекс-ного подхода в изучении потока ВВ для определения сопутствующих парамет-ров, а именно: определения основных параметров верхнего слоя вод дистанци-онными методами исследования с использованием спутниковых снимков; ис-пользования седиментационных ловушек с различным временным разреше-нием, устанавливаемых на различных глубинах; подключения дополнитель-ных зондов для определения гидрологических параметров среды в точке по-становки ловушки (течения, температура, соленость, содержание, прозрач-ность, флуоресценция и др.).
Цель настоящей работы – количественная оценка потока взвешенного ве-щества в глубоководной части Черного моря, его изменчивости и трансформа-ции состава в анаэробных условиях по данным 2021–2022 гг.
Материалы и методы
Данные были получены в результате постановки на пяти горизонтах седи-ментационных ловушек в глубоководной части Черного моря (глубина поста-новки станции 1968 м) на разрезе м. Херсонес – пролив Босфор (расстояние от м. Херсонес 180 км). Для отбора проб использовались два типа седиментационных ловушек: первый – с возможностью получения непрерывного по времени сбора матери-ала с заданным временем экспозиции (дифференциальные 12-стаканные седиментационные ловушки «Лотос-3»), второй – интегральные малые цилиндрические седиментационные ловушки МСЛ-110, которые собирают материал в течение всего времени работы станции [1]. На рис. 1 показан район установки седиментационных ловушек. Обсерватория АГОС была установлена в ходе 119-го рейса НИС «Профессор Водяницкий» 24 сентября 2021 г., подъем станции выполнен 4 октября 2022 г. в ходе 124-го рейса этого научно-исследовательского судна. Для интегрального сбора материала в течение года были установлены МСЛ на глубинах 218, 568, 1068, 1568 и 1918 м. На глубинах 218 м («Лотос-3») и 1918 м (ловушка «Лотос-1» не сработала, данные в работе не обсуждаются) были установлены дифференциальные седиментационные ловушки со временем экспозиции 30 сут. Таким образом, период работы АГОС на разных глубинах и с заданной дискретностью сбора ВВ составил 12 мес (375 сут), он охватывал все сезоны с сентября 2021 г. по октябрь 2022 г. Для сохранения собираемого материала в условиях, максимально приближенных к естественным, емкости-приемники заполняли 4%-ным раствором хлорида натрия, что в два раза превышает среднюю соленость вод Черного моря.
На глубине 218 м ловушки были установлены для оценки потока из верхнего квазиоднородного слоя, на глубине 1918 м – для оценки потока, достигающего дна и участвующего в формировании осадков. Три промежуточные глубины были выбраны для оценки изменчивости потока ВВ с глубиной.
После подъема емкости с пробами ВВ сохранялись в холодильной камере до лабораторной обработки, которая проводилась по единой методике, описанной в [1].
Пробы фильтровали под вакуумом через параллельные предварительно взвешенные ядерные фильтры с размером пор 0,45 мкм для определения суммарного потока ВВ, а также через прокаленные при температуре 450°С стекловолокнистые фильтры Whatman GF/F для определения содержания общего, органического и карбонатного углерода.
После высушивания при температуре 60°С до постоянной массы и взвешивания фильтров с отфильтрованным веществом получали суммарное количество материала (масса сухой взвеси, мг). Для взвешивания материала использовали аналитические лабораторные весы Adventurer AR2140 с точностью измерения до 0,0001 г.
Поток взвешенного вещества рассчитывался как отношение массы сухого ВВ к произведению площади сбора ловушки и времени экспозиции:

где F – поток ВВ, мг∙м‒2∙сут‒1; m – масса сухой взвеси, мг; S – площадь сбора, м2; T – время экспозиции, сут.
Содержание общего, органического и карбонатного углерода определяли методом кулонометрического титрования на анализаторе углерода АН-7529 [15].

Р и с. 1. Схема АГОС (а) и район ее постановки (b)
F i g. 1. Scheme of the AGOS (a) and the area of its installation (b)
Результаты
По данным, полученным с помощью седиментационных ловушек, опреде-лены вертикальный поток ВВ, содержание Сорг и Скарб в пробах, а также рас-считаны потоки органического и неорганического углерода со взвешенным ве-ществом. На глубине 218 м изучена их сезонная изменчивость. Потоки ВВ ха-рактеризовались неоднородностью распределения как по глубине, так и в те-чение года (рис. 2).
По данным интегральных ловушек, поток ВВ изменялся в диапазоне 62–99 мг·м‒2·сут‒1 (рис. 2, а). Отмечено наличие двух пиков одинаковой интенсив-ности (99 мг·м‒2·сут‒1) на глубинах 218 и 1568 м; на глубинах 568, 1068 и 1918 м значение снижалось и составляло 61–63 мг·м‒2·сут‒1. Порядок этих значений сопоставим как с современными данными за 2015–2016 гг. для цен-тральной части моря у подножия северо-западного склона глубоководной кот-ловины [1], так и с данными 80-х годов прошлого века для Анатолийского по-бережья [16–18].
Сезонная изменчивость потока ВВ на глубине 218 м характеризовалась максимумом в сентябре (70,2 мг·м‒2·сут‒1 в пересчете на 30 дней) и миниму-мом в марте (2 мг·м‒2·сут‒1) (рис. 2, b). В целом значения потока ВВ изменя-лись в пределах 9–36 мг·м‒2·сут‒1, что также соответствует литературным дан-ным [1, 16–18].

Р и с. 2. Вертикальная (а) и сезонная (b) изменчивость потока ВВ по данным 2021–2022 гг.
F i g. 2. Vertical (a) and seasonal (b) variability of the suspended matter flux based on the 2021–2022 data
Распределение углерода, одного из основных компонентов ВВ, соответ-ствовало вертикальному профилю его потока: максимальные концентрации наблюдались на глубинах 218 и 1568 м (19,25 и 19,52% соответственно); на глубинах 568, 1068, 1918 м концентрации находились в узких пределах 17,29–17,68%. С глубиной незначительно изменялось соотношение органической и неорганической форм углерода (рис. 3, a), при этом вклад органического уг-лерода в среднем составлял 83%.
В течение года содержание углерода во взвешенном веществе изменялось в пределах 5–23,29% с максимумом в августе и сентябре и минимумом в марте, когда наблюдался минимальный поток ВВ (рис. 2, b). Сезонная изменчивость концентрации Сорг качественно совпадала с сезонной изменчивостью потока ВВ и характеризовалась минимумами в марте и ноябре (5,0 и 7,54% соответ-ственно) и максимумами в июле – сентябре (16,3–20,53%) (рис. 3, b). Распре-деление Скарб во взвешенном веществе носило несколько иной характер: наблюдались минимумы концентрации в весенний и осенний периоды (в марте, апреле и октябре, ноябре соответственно).
Распределение углерода, одного из основных компонентов ВВ, соответ-ствовало вертикальному профилю его потока: максимальные концентрации наблюдались на глубинах 218 и 1568 м (19,25 и 19,52% соответственно); на глубинах 568, 1068, 1918 м концентрации находились в узких пределах 17,29–17,68%. С глубиной незначительно изменялось соотношение органической и неорганической форм углерода (рис. 3, a), при этом вклад органического уг-лерода в среднем составлял 83%. В течение года содержание углерода во взвешенном веществе изменялось в пределах 5–23,29% с максимумом в августе и сентябре и минимумом в марте, когда наблюдался минимальный поток ВВ (рис. 2, b). Сезонная изменчивость концентрации Сорг качественно совпадала с сезонной изменчивостью потока ВВ и характеризовалась минимумами в марте и ноябре (5,0 и 7,54% соответственно) и максимумами в июле – сентябре (16,3–20,53%) (рис. 3, b). Распре-деление Скарб во взвешенном веществе носило несколько иной характер: наблюдались минимумы концентрации в весенний и осенний периоды (в марте, апреле и октябре, ноябре соответственно).

Р и с. 3. Распределение органической (Сорг) и неорганической (Скарб) форм углерода с глубиной (а) и в течение года (b)
F i g. 3. Distribution of organic (Corg) and inorganic (Ccarb) forms of carbon with depth (a) and during a year (b)
Подобное распределение концентраций органической и неорганической форм углерода выявило, что вклад органической составляющей также харак-теризуется выраженной сезонностью с максимумами в марте и октябре (рис. 4): в первый период наблюдалось плавное снижение доли Сорг на 25% с марта по август; во второй – более резкое снижение доли Сорг с октября по январь.

Р и с. 4. Доля органической составляющей от суммарного углерода во взвешенном веществе
F i g. 4. Share of organic component in total carbon in suspended matter
Обсуждение результатов
Вертикальный профиль. Колебание интенсивности потока ВВ с глуби-ной обусловлено влиянием как физических, так и биогеохимических процес-сов. По данным, полученным с помощью седиментационных ловушек, опре-делены вертикальные потоки, содержание Сорг и Скарб в пробах, а также рассчи-таны потоки органического и неорганического углерода со взвешенным веще-ством. На глубине 218 м изучена их сезонная изменчивость.
Поток Скарб для Черного моря определяется преимущественно процессами с участием кокколитофорид, так как для этой экосистемы они являются преоб-ладающими водорослями, имеющими в основе карбонатный скелет [8, 9]. За счет недостаточного насыщения глубинных водных масс карбонатами [19], а также снижения рН и увеличения концентрации СО2 должно происходить растворение карбонатов, что проявляется в снижении потока Скарб с глубиной (рис. 3, а):

Увеличение потока ВВ на глубине 1568 м и ниже, возможно, обусловлено глубинными течениями [10]. По данным [20], в нижних нефелоидных слоях, которые образуются в результате донной эрозии под действием внутренних приливов и волн, происходит адвективный перенос вод. Мелкозернистые, ре-суспендированные отложения, включающие частицы глины, ила и кокколит, часто вовлекаются в эту форму придонного горизонтального переноса [16, 17].
Увеличение концентрации взвеси также может определяться влиянием анаэробных условий вод Черного моря и рядом особенностей протекания био-химических реакций в этих условиях. Так, некоторые исследователи связы-вают это с реакциями с участием марганца, железа и других микроэлементов, образующих в сероводородной зоне нерастворимые сульфиды, которые в дальнейшем осаждаются, сорбируя некоторую часть растворенных соедине-ний, и способствуют формированию взвеси сложного состава [10]. Наличие пиритов во взвеси глубинных вод Черного моря показано в работе [1]. Кроме того, доля потока углерода составляет 20% от потока ВВ, что указывает на сложный компонентный состав ВВ и подтверждает теорию образования в анаэробном слое сульфидов металлов, в частности железа и марганца, и сор-бирование ими других растворенных компонентов с образованием комплекс-ных соединений:

Поскольку в наших исследованиях наблюдается снижение потока ВВ с глубиной, а профиль потока органического вещества качественно совпадает с вертикальным профилем потока ВВ (рис. 2, а; 3, а), можно предположить, что для глубоководных вод Черного моря вклад органической составляющей является преобладающим при формировании ВВ. На это также указывает тот факт, что, согласно данным [1], с увеличением глубины концентрация карбо-натов резко уменьшается и не определяется на глубине 1775 м. При этом уве-личение интенсивности потока ВВ на глубине 1568 м и концентрации Сорг, ве-роятнее всего, определяется физическими процессами переноса.
Сезонная изменчивость потока ВВ и углерода. Установка долгосроч-ных седиментационных ловушек с заданным временем экспозиции, последу-ющим сбором и анализом материала дает возможность изучать вклад различ-ных физических, химических и биологических процессов в формирование ВВ и его последующую трансформацию при смене условий.
Пики значений потока ВВ на глубине 218 м приходятся на летний (август) и осенний (сентябрь) периоды (36,4 и 70,2 мг·м‒2·сут‒1 соответственно). Их суммарный вклад составляет 45% от суммарного значения годового потока (рис. 2).
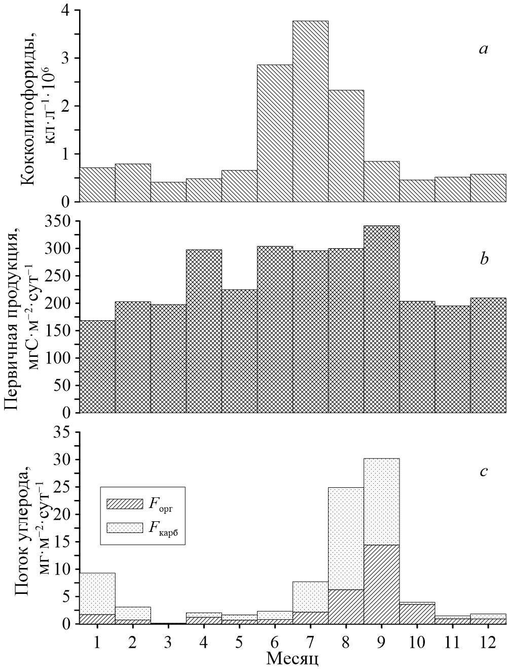
С учетом того, что по спутниковым данным (рис. 5, а) вспышка «цвете-ния» кокколитофорид приходилась на июнь [9], а по данным ловушек макси-мальный вклад карбонатов в поток ВВ приходился на июль, август и сентябрь (40,1, 51,1 и 22,5% соответственно (рис. 5, c)), можно предположить, что в этот период поток ВВ обусловлен карбонатной составляющей и осаждением кок-колитофорид. Скорость осаждения ВВ в этом случае должна соответствовать примерно 7–9 м·сут‒1, что согласуется с данными [23].
Наблюдаемое отставание в один-два месяца между временем пика продук-тивности фитопланктона в эвфотической зоне и максимальными значениями потока неорганического углерода (представленного преимущественно кокко-литофоридами) также обусловлено скоростями осаждения (в пределах 1–36 м·сут‒1) [24].
В остальное время поток ВВ изменялся в пределах 2,3–25,5 мг·м‒2·сут‒1 при среднем значении 13 мг·м‒2·сут‒1 и характеризовался чередованием мак-симумов и минимумов (рис. 2). Минимальный поток ВВ зафиксирован в марте, в этот период он определялся только органической компонентой, а вклад неорганической составляющей отсутствовал (рис. 3, b; 4, 5). Для вод Черного моря характерно два пика «цветения» фитопланктона – осенне-зимний (более интенсивный, максимум приходится на ноябрь – декабрь) и зимне-весенний [25], это проявляется и в сезонном распределении ВВ и его потока (рис. 2, b).
Таким образом, сезонная динамика потока ВВ преимущественно совпа-дает с динамикой первичной продукции и численностью кокколитофорид (рис. 5) [9, 26].

Р и с. 5. Концентрации кокколитофорид (a) и первичной продукции (b) в районе постановки ловушки по спутниковым данным за 2022 г.; сезонный ход потоков органического (Fорг) и неорганического углерода в составе карбонатов (Fкарб) во взвешенном веществе на глубине 218 м по данным ловушки «Лотос-3» (c)
F i g. 5. Concentrations of coccolithophores (a) and primary production (b) in the area of installed trap based on satellite data for 2022; seasonal variations of organic (Forg) and inorganic (Fcarb) carbon fluxes, as the parts of carbonates, in suspended matter at the 218 m depth based on the “Lotus” trap data (c)
Заключение
Сезонная динамика потока ВВ и углерода определяется влиянием как физических, так и биогеохимических процессов. Потоки ВВ характеризовались неоднородностью распределения с глубиной и в течение года.
Отмечено наличие двух пиков потока ВВ одинаковой интенсивности на глубинах 218 и 1568 м. Снижение интенсивности потока ВВ происходит за счет протекания биогеохимических процессов, приводящих к растворению, окислению и минерализации веществ, образующих ВВ. Увеличение концен-трации ВВ и его потока, вероятнее всего, обусловлено влиянием течений либо протеканием физико-химических процессов сорбции на сульфидах металлов.
Сезонная изменчивость потока ВВ определялась преимущественно биоло-гическими процессами с участием планктона, вклад органической составляю-щей достигал 83%. Пики значений потока ВВ приходились на летний период, их суммарный вклад составлял 45% от значений годового потока.
Минимальный поток ВВ зафиксирован в марте, в этот период он опреде-лялся только органической компонентой, а вклад неорганической составляю-щей отсутствовал.
Сезонная динамика потока ВВ соответствует спутниковым данным по первичной продукции и численности кокколитофорид, соотношение времени пиков их «цветения» в зоне фотосинтеза и потоков неорганического углерода на глубине 218 м соответствует расчетным скоростям осаждения в пределах 1–36 м·сут‒1.
Измерения проведены в Центре коллективного пользования НИС «Про-фессор Водяницкий» Федерального государственного бюджетного учрежде-ния науки Федерального исследовательского центра «Институт биологии юж-ных морей имени А. О. Ковалевского РАН».
1. Vertikal'nye potoki rasseyannogo osadochnogo veschestva v glubokovodnoy chasti Chernogomorya / A. A. Klyuvitkin [i dr.] // Sistema Chernogo morya. Moskva : Nauchnyy mir, 2018.S. 350–396. EDN ANCZBB. https://doi.org/10.29006/978-5-91522-473-4.2018.350
2. Lisicyn A. P. Terrigennaya sedimentaciya, klimaticheskaya zonal'nost' i vzaimodeystvie terrigennogo i biogennogo materiala v okeanah // Litologiya i poleznye iskopaemye.1977. № 6. C. 3–22.
3. Kukushkin A. S., Parhomenko A. V. Prostranstvenno-vremennaya izmenchivost' so-derzhaniya vzveshennogo veschestva v poverhnostnom sloe otkrytoy chasti Chernogomorya // Okeanologiya. 2021. T. 61, № 2. S. 307–319. EDN EYVMTL.https://doi.org/10.31857/S00301574210101234.Kukushkin A. S., Suslin V. V. Ocenka primenimosti sputnikovyh dannyh dlya issledovaniya izmenchivosti soderzhaniya vzveshennogo veschestva v poverhnostnom sloe glubokovodnoy oblasti Chernogo morya // Morskoy gidrofizicheskiy zhurnal. 2020. T. 36, № 5. S. 595–605. EDN LPFNPI. https://doi.org/10.22449/0233-7584-2020-5-595-605
4. Kukushkin A. S., Suslin V. V. Ocenka primenimosti sputnikovyh dannyh dlya issledova-niya izmenchivosti soderzhaniya vzveshennogo veschestva v poverhnostnom sloe glubokovod-noy oblasti Chernogo morya // Morskoy gidrofizicheskiy zhurnal. 2020. T. 36, № 5. S. 595–605. EDN LPFNPI. https://doi.org/10.22449/0233-7584-2020-5-595-6055.
5. Kukushkin A. S., Parhomenko A. V. Izmenchivost' soderzhaniya vzveshennogo organicheskogo veschestva v yugo-zapadnoy chasti Krymskogo poberezh'ya po dannym sudovyh i sputnikovyh nablyudeniy // Sovremennye problemy distancionnogo zondirovaniya Zemli iz kos-mosa. 2019. T. 16, № 1. S. 137–146. EDN ZABHZZ. https://doi.org/10.21046/2070-7401-2019-16-1-137-146
6. Eremeeva L. V., Burlakova Z. P., Konovalov S. K. Sezonnaya i prostranstvennaya izmenchivost' soderzhaniya vzveshennogo organicheskogo veschestva v deyatel'nom sloe Chernogomorya // Morskoy gidrofizicheskiy zhurnal. 1998. № 5. S. 30–62.
7. Lukashin V. N., Lisicyn A. P. Geohimiya rasseyannogo osadochnogo veschestva i ego potokiv tolsche vod Kaspiyskogo morya // Okeanologiya. 2016. T. 56, № 5. S. 741–756. EDNWLNGJX. https://doi.org/https://doi.org/10.7868/S0030157416050099
8. Shoman N. Yu., Solomonova E. S., Akimov A. I. Vliyanie sveta na izmenenie morfofiziologicheskih harakteristik kokkolitoforidy Emiliania huxleyi // Fiziologiya rasteniy.2022. T. 69, № 2. S. 216–22
9. Mikaelyan A. S., Silkin V. A., Pautova L A. Razvitie kokkolitoforid v Chernom more: mezhgodovye i mnogoletnie izmeneniya // Okeanologiya. 2011. T. 51, № 1. S. 45–53. EDNNDJCPH.
10. Vityuk D. M. Vzveshennoe veschestvo i ego komponenty v Chernom more // Gidrobiologicheskiy zhurnal. 1975. T. 11, № 1. S. 12–18.
11. Denisov V. I., Latun V. V. Potoki himicheskih elementov v sostave osazhdayuschegosya vzveshennogo veschestva na shel'fe Chernogo morya (po dannym sedimentacionnyh lovushek) //Izvestiya vysshih uchebnyh zavedeniy. Severo-Kavkazskiy region. Seriya: Estestvennye nauki. 2018. № 4. S. 77–85. EDN YSAVSH.
12. Kukushkin A. S. Ocenka izmenchivosti soderzhaniya vzveshennogo veschestva v glubokovodnoy chasti Chernogo morya po sputnikovym dannym // Sovremennye problemy distanci-onnogo zondirovaniya Zemli iz kosmosa. 2020. T. 17, № 2. S. 184–191. EDN BHISNR.https://doi.org/10.21046/2070-7401-2020-17-2-184-191
13. Glubokovodnye observatorii na transkaspiyskom razreze – nepreryvnye issledovaniya potokov rasseyannogo osadochnogo veschestva / A. P. Lisicyn [i dr.] // Doklady Akademii nauk. 2014. T. 456, № 4. S. 485–489. EDN SDXIAR.https://doi.org/10.7868/S0869565214160245
14. Rasseyannye formy osadochnogo veschestva i ih potoki v okeanah i moryah na primere Belogo morya (rezul'taty 12 let issledovaniy) / A. P. Lisicyn [i dr.] // Doklady Akademii nauk. 2014. T. 456, № 3. S. 355–359. EDN OMDILJ.https://doi.org/10.7868/S086956521415016X
15. Zabegaev I. A., Shul'gin V. F., Orehova N. A. Primenenie instrumental'nyh metodovanaliza donnyh otlozheniy dlya ekologicheskogo monitoringa morskih ekosistem // Uche-nye zapiski Krymskogo federal'nogo universiteta imeni V. I. Vernadskogo. Biologiya. Himiya. 2021. T. 7, № 4. S. 242–254.
16. Seasonal cyclicity of lithogenic particle fluxes at a southern Black Sea sediment trap station /S. Honjo [et al.] // Particles in the ocean. Eds. E. T. Degens, E. Izdar, S. Honjo. Mitteilungenaus dem Geologisch-Paläontologischen Institut der Universität Hamburg. 1987. SCOPE/UNEPSonderband Heft 62. 19–39.
17. Particle flux in the Black Sea: Nature of the organic matter / E. Izdar [et al.] // Particles in theocean. Eds. E. T. Degens, E. Izdar, S. Honjo. Mitteilungen aus dem Geologisch-Paläontolo-gischen Institut der Universität Hamburg. 1987. SCOPE/UNEP Sonderband Heft 62. R. 1–18.
18. First data on sediment trap experiment in Black Sea deep water / E. Izdar [et al.] // Naturwis-senschaften. 1984. Vol. 71. P. 478–479. https://doi.org/10.1007/BF00455904
19. Zeebe R. E., Wolf-Gladrow D. CO2 in Seawater: Equilibrium, Kinetics, Isotopes / Ser. ed.D. Halpern. Amsterdam : Elsevier, 2001. R. 360. (Elsevier Oceanography Series ; vol. 65)
20. Dickson R. R., McCave I. N. Nepheloid layers on the continental slope west of PorcupineBank // Deep Sea Research Part A. Oceanographic Research Papers. 1986. Vol. 33, iss. 6.P. 791–818. https://doi.org/10.1016/0198-0149(86)90089-0
21. Samyshev E. Z., Minkina N. I. The Seasonal Variability and Sedimentation Rate of SuspendedMatter in Photic Layer of the Black Sea // Environment and Ecology Research. 2017. Vol. 5,iss. 3. P. 227–234. https://doi.org/10.13189/eer.2017.050308
22. Sedimentation of particulate matter during a phytoplankton spring bloom in relation to the hy-drographical regime / V. Smetacek [et al.] // Marine Biology. 1978. Vol. 47. P. 211–226.https://doi.org/10.1007/BF00541000
23. Parhomenko A. V., Kukushkin A. S. Sedimentacionnyy potok vzveshennogo organicheskogo fosfora v pelagiali Chernogo morya // Okeanologiya. 2018. T 58, № 2. S. 258–268. EDNORRNGH. https://doi.org/10.7868/S0030157418020107
24. Asper V. L. Measuring the flux and sinking speed of marine snow aggregates // Deep Sea Re-search Part A. Oceanographic Research Papers. 1987. Vol. 34, iss. 1. P. 1–17.https://doi.org/10.1016/0198-0149(87)90117-8
25. Sezonnaya i mnogoletnyaya izmenchivost' fitoplanktona v Chernom more po dannym distancionnogo zondirovaniya i kontaktnym izmereniyam hlorofilla A / S. V. Vostokov[i dr.] // Doklady Akademii nauk. 2019. T. 485, № 1. C. 99–103. EDN RKUJZH.https://doi.org/10.31857/S0869-5652485199-103
26. Vostokov S. V., Vostokova A. S., Vazyulya S. V. Seasonal and Long-Term Variability of Cocco-lithophores in the Black Sea According to Remote Sensing Data and the Results of Field Inves-tigations // Journal of Marine Science and Engineering. 2022. Vol. 10, iss. 1. 97.https://doi.org/10.3390/ jmse10010097




