Цель. Проведены обобщение схемы Аракавы – Лэмба для дискретных уравнений горизонтальных компонент трехмерного абсолютного вихря скорости идеальной жидкости и анализ их свойств. Методы и результаты. Для вывода конечно-разностных трехмерных уравнений вихря скорости используется переопределенная сетка, что позволяет получить дискретные уравнения движения, следствием которых является уравнение для абсолютного вихря скорости. Полученная форма записи представлена в виде трех слагаемых, которые отражают разные свойства дискретных уравнений. Первое слагаемое обеспечивает выполнение для дискретной постановки закона сохранения энергии, второе – наличие двух квадратичных инвариантов для случая бездивергентного течения, прибавление третьего слагаемого приводит к схеме Аракавы – Лэмба при приближении мелкой воды. Из представленной записи следует, что второе и третье слагаемые, для которых нет аналогов в непрерывной постановке, могут интерпретироваться как приближение нуля со вторым порядком точности. Тем самым с помощью подбора этих выражений есть возможность строить схемы с нужными свойствами сохранения. Выводы. Форма записи дискретного уравнения трехмерного абсолютного вихря скорости позволяет конструировать схемы с заранее заданными свойствами. Получены разностные уравнения для горизонтальных компонент вихря скорости, обладающие двумя квадратичными инвариантами.
схема Аракавы – Лэмба, дискретные уравнения модели, динамика моря, кинетическая энергия, абсолютный вихрь, квадратичные инварианты
Введение
Одним из фундаментальных результатов в исследовании дифференциальных уравнений в частных производных остается теорема Нетер [1], которая устанавливает взаимно однозначное соответствие между свойствами решения таких систем и законами сохранения, которыми они обладают. Явным примером ее приложения для уравнений мелкой воды является схема сохранения энергии и потенциальной энстрофии (законы сохранения), что обеспечивает постоянство среднего волнового числа, взвешенного по энергии (свойство решения).
Для разностной системы уравнений двумерной динамики в работе [2] были получены схемы, сохраняющие энергию и квадрат вихря для бездивергентного движения. Для приближения мелкой воды в [3] приведена дискретная система уравнений, которая обладает двумя квадратичными инвариантами – энергией и потенциальной энстрофией. Как следствие этого свойства, в соответствии с дифференциальной постановкой запрещается передача энергии в сторону одних масштабов, например в малые. В работе [4] получена дискретизация скобки Намбу с сохранением свойства антисимметрии, что позволило обобщить схему Аракавы – Лэмба и получить разностную схему, полностью (по времени и пространству) обладающую двумя дискретными квадратичными инвариантами (энергия и потенциальная энстрофия). На ее основе выводятся явные конечно-разностные уравнения мелкой воды, которые сохраняют массу, циркуляцию, энергию и потенциальную энстрофию на регулярной квадратной сетке и на неструктурированной треугольной сетке. Последняя включает в себя регулярную шестиугольную сетку как частный случай.
В работе [5] классическая схема Аракавы – Лэмба, выписанная для ортогональных квадратных сеток, представлена на произвольных неортогональных полигональных сетках и схема, полученная в работе [4], обобщена на произвольные ортогональные сферические полигональные сетки таким образом, чтобы обеспечить сохранение энергии и потенциальной энстрофии. Для уравнений мелкой воды в случае обобщенных криволинейных координат в работе [6] на основе тензорного анализа выводится конечно-разностная схема, сохраняющая энергию и потенциальную энстрофию. Показано, что точное сохранение дискретной энергии и потенциальной энстрофии предотвращает искажение прямого и обратного каскадов энергии в квазидвумерной турбулентной жидкости и повышает устойчивость схемы.
Для уравнений мелкой воды, которые включают полную силу Кориолиса и рельеф дна, в работе [7] выведена схема, сохраняющая энергию и потенциальную энстрофию. Авторы отмечают, что сохранение дискретной энергии и дискретной потенциальной энстрофии предотвращает искажение прямого и обратного каскадов энергии в квазидвумерной турбулентности и повышает устойчивость схемы.
В настоящей работе, которая является продолжением исследований [8, 9], схема Аракавы – Лэмба переписывается специальным образом. Полученная запись позволяет, во-первых, выделить явным образом слагаемые, ответственные за разные свойства сохранения в уравнении для абсолютного вихря скорости, и, во-вторых, обобщить схему для дискретных уравнений горизонтальных компонент вихря скорости.
Дискретные уравнения движения
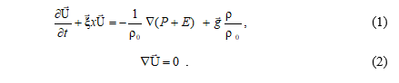
Рассмотрим дифференциальные уравнения несжимаемой жидкости в поле потенциальных сил при отсутствии вязкости и внешних источников. Тогда в приближении Буссинеска в декартовой системе координат скорость движения в области W с границей ¶W в форме Громеки – Лэмба удовлетворяет следующей системе уравнений:

Введены обозначения:
– компоненты вектора скорости течения по осям (x, y, z), направленным на восток, север и вертикально вниз соответственно;
= (0, 0, g) – ускорение свободного падения ; (P, r) – давление и плотность морской воды; r0 = 1 г/см3 (в дальнейшем полагаем давление и плотность нормированными на r0);
=
– параметр Кориолиса, где
= 2w sinj; w – угловая скорость вращения Земли; j – широта.
В уравнении (1) введены абсолютный вихрь скорости и кинетическая энергия движения:

В терминах тензорного анализа
где 
Здесь и далее
одновременно могут принимать только разные значения
;
– тензор Леви-Чивиты и для каждого фиксированного α суммирование осуществляется по β, γ.
При z = 0
при z = H(x, y)
. (5)
На боковых стенках ставятся условия непротекания:
для меридиональных 
для зональных участков границы
(6)
Начальные условия:
при t = t0 u = u0, v = v0, w = w0.
Уравнение для абсолютного вихря скорости имеет вид

Аппроксимируем бассейн с неровным дном боксами, центрам которых соответствуют целочисленные значения индексов i, j, k (
k = 1,…, Ki,j), граням – i+1/2, j+1/2, k+1/2. Горизонтальные размеры боксов (
) постоянные, по вертикали используется неравномерная аппроксимация (
).
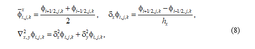
Разностные операторы имеют вид (для j, k – аналогично):

На горизонтах
рассчитываются горизонтальные компоненты скорости, на горизонтах
– вертикальная скорость;
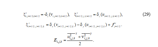
– площадь поверхности на горизонте k. Распределение переменных указано на рисунке.

Распределение переменных в боксе (i, j, k), на его ребрах – компоненты абсолютного вихря скорости ![]()
Distributions of variables in the box (i, j, k) and on its edges are the absolute vorticity components ![]()
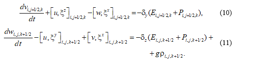
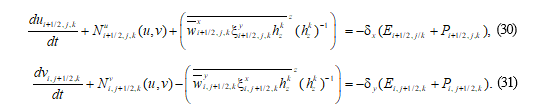
Выпишем дифференциально-разностные уравнения движения (дифференциальные по времени) [3, 9]:
![]()

Для дискретных аналогов нелинейных слагаемых введены обозначения
![]()
![]()
, конкретный вид которых представим позже.
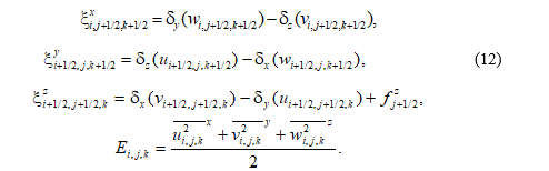
В соответствии с обозначениями (3), (4), (8) компоненты вихря скорости (рисунок) и кинетическая энергия имеют вид

Из аппроксимации (5) следует, что в точках
выполняется
![]()
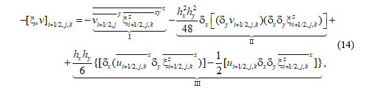
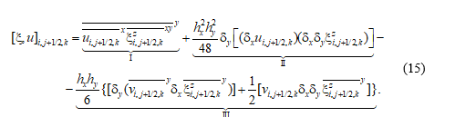
Рассмотрим движение в плоскости (x, y). В отличие от классической работы [3], запишем нелинейное слагаемое в первом уравнении и – во втором в следующем виде:


Переходя к дискретным уравнениям бездивергентного течения в плоскости (x, y), после известных преобразований с учетом равенства (13) получим уравнение для вихря скорости. Дифференциальное уравнение вихря обладает законами сохранения энергии, вихря и энстрофии (квадрат вихря), которые должны соблюдаться в разностной задаче. Смысл записи нелинейных слагаемых в уравнениях (9), (10) в виде выражений (14), (15) заключается в следующем. Разностное слагаемое, обозначенное цифрой I, соответствует дифференциальному аналогу горизонтальной адвекции. В разностном уравнении для вихря скорости оно обеспечивает выполнение закона сохранения дискретной энергии, но вихрь и энстрофия не являются инвариантами. Член, обозначенный цифрой II, имеет четвертый порядок малости и поэтому порядок разностной схемы не меняет. Но его присутствие в выражениях (14), (15) обеспечивает в дискретном уравнении для вихря скорости бездивергентного течения выполнение законов сохранения вихря, энергии и энстрофии [2].
Третье слагаемое второго порядка малости принципиально отличается от двух других. Если первые два могут интерпретироваться как приближение
, то третий член формально никакому слагаемому не соответствует. Он появляется в результате требования консервативности дискретного уравнения вихря, обеспечивая наряду с первым слагаемым сохранение энергии и потенциальной энстрофии в модели мелкой воды (дивергентное движение в плоскости (x, y)) [3].
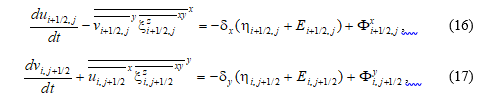
Из представленных рассуждений следует, что уравнения движения в приближении мелкой воды могут быть записаны в следующем виде:

где
– возвышение свободной поверхности. В уравнениях (16), (17) вид
очевиден.
Из сказанного следует два вывода. Во-первых, методом построения разностных схем, обладающих нужными свойствами сохранения, может служить выбор подходящих выражений типа
, которые порядок задачи не меняют и могут интерпретироваться как приближение нуля с соответствующим порядком. Во-вторых, уравнения (16), (17) могут быть записаны в терминах тензорного анализа:

где a, b, g одновременно могут принимать только разные значения x, y, z.
Выражения для
приведем позже.
Введены следующие обозначения:
,
где
соответствуют точкам (i+1/2, j, k), (i, j+1/2, k), (i, j, k+1/2).
Если в уравнении (18) примем a = x, то получим уравнение (16), если a = y, то получим уравнение (17). Иначе говоря, переставляя местами a и b, мы получаем систему (16), (17).
С учетом введенных обозначений запишем уравнения (9)–(11) в виде одного:

Пусть в уравнении (19)
, тогда получаем

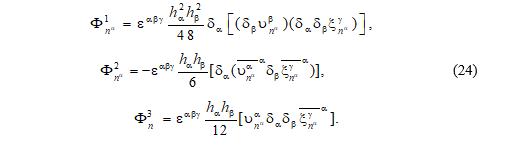
Рассмотрим последнее слагаемое в уравнении (19). Представим его в виде
. ![]()
Тогда в соответствии с выражениями (14), (15) слагаемые в равенстве (23) можем записать следующим образом

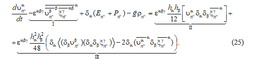
Заметим, что здесь и далее суммирование осуществляется при фиксированном a по двум перестановкам – b, g и g, b. Поэтому уравнения (21)–(22) с учетом выражения (24) могут быть записаны в виде одного уравнения

Дискретное уравнение (25) обладает следующими особенностями. Слагаемое I является дискретным аналогом нелинейного члена в уравнении движения. В случае приближения мелкой воды выполняется закон сохранения энергии, но нет гарантии сохранения потенциальной энстрофии (второй квадратичный инвариант). Добавление члена, отмеченного как II, приводит к схеме, обеспечивающей наличие двух дискретных инвариантов – энергии и энстрофии (квадрат вихря) для бездивергентного течения, но по-прежнему для приближения мелкой воды отсутствует свойство сохранения потенциальной энстрофии. И, наконец, слагаемое III приводит к схеме Аракавы – Лэмба [3].
Правая часть формально не соответствует дифференциальному виду уравнения (1), но порядок схемы не меняет и может интерпретироваться как аппроксимация нуля со вторым порядком точности по пространственным координатам.
В указанных обозначениях абсолютный вихрь скорости (12) переписывается в виде (разностный аналог (3))
![]()
Проведя соответствующие операции, получаем дифференциально-разностное (дифференциальное по времени) уравнение для абсолютного вихря скорости (дискретный аналог уравнения (7)):

Квазистатическое приближение
Рассмотрим частный случай движения в квазистатическом приближении с учетом краевых (6) и начальных условий. В этом случае
![]()
Уравнение неразрывности имеет прежний вид (2).
Напомним, что предполагаем
В соответствии с сеткой С (рис. 1) разностные аналоги вихря скорости (26) в виде (28) и кинетической энергии записываются следующим образом:

Дискретное уравнение движения (25) при a = x, b = y, g = z и a = y, b = x, g = z приводит к системе уравнений (20), (21), где компоненты абсолютного вихря имеют вид (29).
Перепишем полученные уравнения в следующем виде:

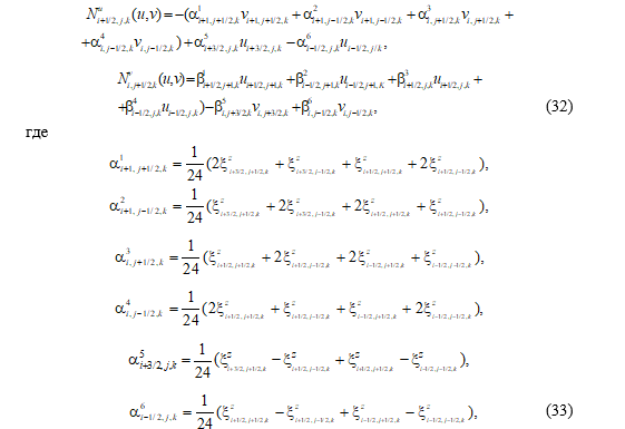
Для описания вертикальной адвекции выбрана схема на минимальном разностном шаблоне, обеспечивающая сохранение энергии в уравнениях движения. Она является частным случаем схемы, представленной в уравнениях (21)–(24). Нетрудно убедиться, что горизонтальные адвективные слагаемые в уравнениях (30), (31) имеют вид


Уравнение для вертикальной компоненты абсолютного вихря скорости в точке
записывается в виде (a = z в уравнении (27))
![]()
Вид последних двух слагаемых в уравнении (34) очевиден.
Аппроксимация (32)–(34) в точности соответствует схеме Аракавы – Лэмба, и поэтому в приближении мелкой воды уравнение (34) обладает двумя квадратичными инвариантами (энергия и потенциальная энстрофия). При выполнении двух квадратичных законов сохранения среднее волновое число не зависит от времени. Поэтому предотвращается систематическая передача энергии к движениям с высокими волновыми числами и тем самым повышается устойчивость численного решения задачи.
Полученная форма записи (25), (27) позволяет выписать аналогичные схемы для двух других компонент вихря скорости.
Заключение
В работе запись схемы Аракавы – Лэмба представлена в виде трех слагаемых, которые отражают разные свойства дискретных уравнений. Первое слагаемое обеспечивает выполнение для дискретной постановки закона сохранения энергии, второе – приводит к схеме, обладающей двумя квадратичными инвариантами для случая бездивергентного течения, прибавление третьего слагаемого соответствует схеме Аракавы – Лэмба. Важной особенностью представленной записи является то, что для второго и третьего слагаемых нет аналогов в системе дифференциальных уравнений. Порядок аппроксимации они не меняют, а на свойства схемы влияют существенным образом. При уменьшении шага сетки они стремятся к нулю, и поэтому их можно интерпретировать как приближение нуля некоторой функцией –
. Следовательно, подбирая соответствующие разностные аппроксимации нулевой правой части, можно получать разностные схемы с различными свойствами сохранения. Так как таких вариантов бесконечное множество, то необходимо вводить соответствующий формализм поиска схем с заданными характеристиками.
Принципиальный результат заключается в том, что представленная запись позволяет выписать разностные уравнения для горизонтальных компонент вихря скорости, обладающих аналогично схеме Аракавы – Лэмба двумя квадратичными инвариантами.
1. Noether E. Invariante Variationsprobleme // Nachrichten von der Gesellschaft der Wissenschaften zu Göttingen – Mathematisch-Physikalische Klasse. Berlin, 1918. P. 235–257.
2. Arakawa A. Computational design for long-term numerical integration of the equations of fluid motion: Two-dimensional incompressible flow. Part I // Journal of Computational Physics. 1966. Vol. 1, iss. 1. P. 119–143. https://doi.org/10.1016/0021-9991(66)90015-5
3. Arakawa A., Lamb V. R. A potential enstrophy and energy conserving scheme for the shallow water equation // Monthly Weather Review. 1981. Vol. 109, iss. 1. P. 18–36. https://doi.org/10.1175/1520-0493(1981)109<0018:APEAEC>2.0.CO;2
4. Salmon R. A general method for conserving energy and potential enstrophy in shallow-water models // Journal of the Atmospheric Sciences. 2007. Vol. 64, iss. 2. P. 515–531. https://doi.org/10.1175/JAS3837.1
5. Sugibuchi Y., Matsuo T., Sato S. Constructing invariant-preserving numerical schemes based on Poisson and Nambu brackets // JSIAM Letters. 2018. Vol. 10. P. 53–56. https://doi.org/10.14495/jsiaml.10.53
6. Toy M. D., Nair R. D. A potential enstrophy and energy conserving scheme for the shallow-water equations extended to generalized curvilinear coordinates // Monthly Weather Review. 2016. Vol. 145, iss. 3. P. 751–772. https://doi.org/10.1175/MWR-D-16-0250.1
7. Stewart A. L., Dellar P. J. An energy and potential enstrophy conserving numerical scheme for the multi-layer shallow water equations with complete Coriolis force // Journal of Computational Physics. 2016. Vol. 313. P. 99–120. https://doi.org/10.1016/j.jcp.2015.12.042
8. Демышев С. Г. Численные эксперименты по сопоставлению двух конечно-разностных схем для уравнений движения в дискретной модели гидродинамики Черного моря // Морской гидрофизический журнал. 2005. № 5. С. 47–59.
9. Демышев С. Г. Нелинейные инварианты дискретной системы уравнений динамики моря в квазистатическом приближении // Морской гидрофизический журнал. 2023. Т. 39, № 5. С. 557–583. EDN JWSUUM.



