Россия
Севастополь, Россия
На основе рассчитанного по данным наблюдений климатического массива темпера- туры и солености на сетке 10′ × 15′ для 1950–2023 гг. рассмотрены пространственное распределение и сезонная изменчивость термохалинной структуры вод шельфа Западного Крыма. Пространственная термическая структура района в холодный пери- од года имеет явно выраженное зональное распределение с холодной северной и теплой южной частями. В весенне-летний период относительное расположение теплых/холодных областей изменяется на меридиональное. Для халинной структуры вод района характерно наличие клина соленых вод открытого моря, разделяющего распресненные воды прибрежной зоны и северо-западного шельфа. Прибрежная зона на протяжении большей части года является более холодной и распресненной, чем мористая часть шельфа. Обратное распределение, когда прибрежная зона теплее мористой части шельфа, наблюдается в поверхностном слое в апреле – мае, а также в слое глубже сезонного термоклина в летне-осенний период. Частые апвеллинги в летний сезон способствуют тому, что соленость в подповерхностных слоях прибрежной зоны с мая по сентябрь становится выше, чем в мористой части шельфа. В целом по характеристикам термохалинной структуры вод шельф Западного Крыма является промежуточной зоной между северо-западным шельфом и глубоководной частью Черного моря, водообмен с которой зависит от интенсивности Основного Черноморского течения и Севастопольского антициклона. Региональные водные массы или подтипы основных черноморских водных масс в исследуемом районе не выделены.
термохалинная структура, температура воды, соленость, климат, шельф, прибрежная зона, Западный Крым
Введение
Морская акватория, прилегающая к г. Севастополю и западным районам Республики Крым, является естественной составляющей региона и важна для его экономического развития. Для решения прикладных задач необходимы региональные справочные пособия, освещающие климатические условия и современ- ное состояние окружающей среды, в том числе термохалинной структуры вод.
Общие черты гидрологии района, примыкающего к западному побережью Крыма, в различной степени детализации представлены в обобщающих трудах, описывающих все шельфовые области или Черное море в целом [1‒4], а также в работах 1), 2). В этих исследованиях шельф Западного Крыма не выделяли
в отдельный район, поскольку он, будучи частью обширного северо-западного шельфа, по своим условиям максимально приближен к глубоководной части Черного моря.
Характеристики различных океанографических явлений и процессов непо- средственно для данного района рассматривались в работах 3), 4) [6‒12]. Много исследований посвящено циркуляции вод северо-западного шельфа в целом и Севастопольского антициклона в частности (например, работы 2), 5), а также [2‒4, 13‒21]). Адвекция вод в значительной степени влияет на термохалин- ную структуру, в особенности на границах районов с различной гидрологиче- ской структурой вод.
Региональное описание сезонной изменчивости термохалинной структу- ры вод, относящееся к данному району, опубликовано более 20 лет назад на основе имеющихся на тот момент архивных данных и ограничено Севасто- польским взморьем [12].
Цель работы – на основе данных наблюдений за 1950–2023 гг. описать сезонную изменчивость термохалинной структуры вод шельфа Западного Крыма с оценкой основных различий между открытой и прибрежной частями исследуемого района.
Материалы и методы исследования
Район шельфа, примыкающий к западному побережью Крыма, относится к районам Черного моря с достаточно высокой обеспеченностью данными океанографических наблюдений. Всего в банке данных Морского гидрофизи- ческого института РАН имеется 37 046 гидрологических станций (1460 набо- ров/рейсов), выполненных в районе исследований (44° 20′–45° 30′ с. ш., 32°– 33° 35′ в. д.) в 1910‒2023 гг. 6) (рис. 1). Для расчета климатических значений был выбран период 1950‒2023 гг., охватывающий два климатических пери- ода Всемирной климатической организации (10 673 станции) (рис. 2).
Климатические оценки температуры и солености рассчитывали по де- кадным профилям из массива реанализа термохалинных полей, представля- ющих собой интерполированные значения первичных измерений на регуляр- ной сетке 10′ × 15′ по методике, описанной в [22]. Относительная степень покрытия исследуемого района интерполированными значениями дости- гала 90 % в 1960–1980-х гг., 20 % в 1995–2015-х гг. и 40 % – после 2016 г. Для 1950–2023 гг. были рассчитаны среднемесячные значения температуры и солености в узлах сетки, принятые за климатические нормы.


Р ис . 1 . Расположение гидрологических станций на шельфе Западного Крыма в 1910‒2023 гг. и их количество в квадратах 20′ × 30′
F ig . 1 . Location of oceanographic casts in the shelf area near the Western
Crimea coast in 1910‒2023 and number of stations in 20′ × 30′ squares

Р ис . 2 . Временной ход количества гидрологических станций в месяц в районе исследований
F i g. 2. Time-series of monthly number of oceanographic stations in the study area
Результаты и обсуждение
Температура воды
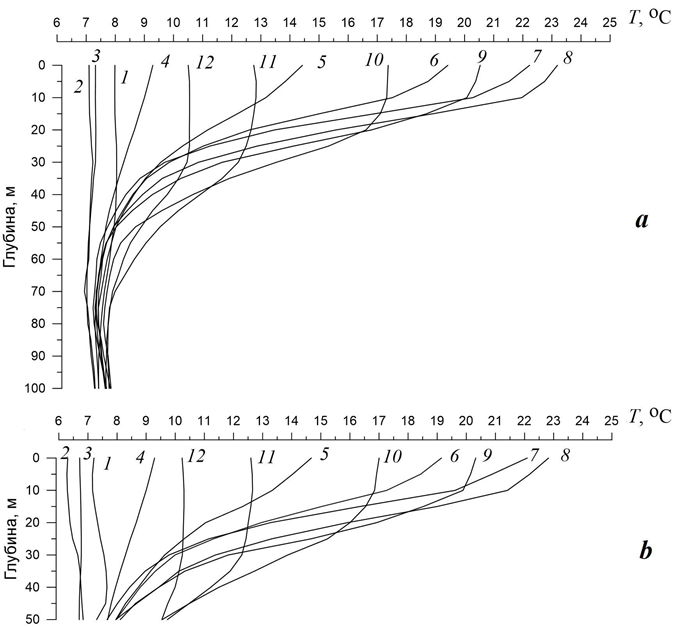
Сезонный ход вертикальной термической структуры вод в исследуемом районе в целом характерен для Черного моря. С января по март температура воды в значительной степени однородна во всем слое. С мая по август разви- вается резкий термоклин, повторяемость возникновения верхнего перемешан- ного слоя в этот период года минимальна. С глубиной наблюдается фазовое запаздывание сезонного цикла (рис. 3, 4).
Для условного разделения открытой и прибрежной частей шельфа бы- ла принята изобата 50 м. С января по апрель прибрежная зона во всем слое холоднее остальной части шельфа, разница температур вод прибрежной зоны и мористой части шельфа доходит до 0.8 °С и с глубиной не меняет знак (рис. 5).

Р ис . 3 . Среднемесячные климатические вертикальные про- фили температуры воды на шельфе Юго-Западного Крыма: в мористой части шельфа (a), в прибрежной зоне (b). Цифры соответствуют месяцам года
F ig . 3. Climatic monthly vertical temperature profiles in the South- Western Crimea shelf area: in the outer shelf part (a), in the coastal zone (b). Digits stand for month numbers

Р ис . 4 . Климатический сезонный ход темпе- ратуры воды на шельфе Западного Крыма для различных глубин. Штриховыми линиями изоб- ражены графики температуры воды в прибреж- ной зоне (глубина менее 50 м), сплошными – в мористой части шельфа
F i g. 4. Climatic seasonal course of water tem- perature in the Western Crimea shelf area at differ- ent depths. Dashed lines denote temperature values in the coastal zone (depth < 50 m), solid lines are those in the outer shelf

Р ис . 5 . Разница среднемесячных климатических значений темпера- туры воды между прибрежной зоной и мористой частью шельфа Запад- ного Крыма. Штриховыми линиями изображены графики для тех меся- цев, в которых разница значений температуры меняет знак с глубиной, сплошными – в которых не меняет. Цифры соответствуют месяцам года
F i g. 5. Differences of climatic monthly temperature between the coastal zone and the Western Crimea outer shelf. Dashed lines denote months when the difference in values changes its sign with depth, solid lines are months without changes. Digits stand for month numbers
В остальную часть года в поверхностном слое температура вод прибрежной зоны в основном ниже, чем в мористой части шельфа (DТ £ 0.6 °С), а в слое ниже термоклина – выше (DТ £ 0.9 °С) (рис. 5).
Пространственная термическая структура района в целом имеет явно выраженное зональное распределение с холодной северной и теплой южной частями. С глубиной южное направление роста температуры меняется на юго- восточное из-за влияния холодных придонных вод северо-западного шельфа (рис. 6).
На протяжении годового цикла пространственное соотношение теплых и холодных областей в поле температуры изменяется (рис. 7). Наибольшее отклонение от среднегодового распределения в поверхностном слое наблю- дается в апреле ‒ мае, когда вся прибрежная зона в среднем на 0.3‒0.4 °С теп- лее открытой части, и летом, когда прибрежные воды, наоборот, на 0.2 °С хо- лоднее. Это связано с тем, что в условиях весеннего прогрева и слабого ветра прибрежная зона прогревается быстрее, чем мористая часть шельфа, а летом влияние сгонных явлений и апвеллингов в прибрежной зоне выражено наибо- лее сильно. С сентября по март термическое поле соответствует среднегодо- вому распределению, при этом зональный контраст температуры воды мини- мален в сентябре.
Географическое положение шельфа Западного Крыма между глубоковод- ной частью моря и северо-западным шельфом подразумевает возможность адвекции вод холодного промежуточного слоя (ХПС) из этих районов. По результатам отдельных гидрологических измерений обнаруживаются признаки проникновения вод ХПС в исследуемый район как с северного, так и с южного направления. По климатическому распределению температуры

Р ис . 6 . Среднегодовые климатические значения температуры воды, °С, в районе шельфа Западного Крыма на горизонтах 0 и 50 м
F i g. 6. Climatic yearly water temperature fields in the Western Crimea shelf, °С,
at depths of 0 and 50 m

Р ис . 7 . Обобщенные типы пространственного распределе- ния температуры воды в поверхностном слое в районе шельфа Западного Крыма по отклонениям от среднего по акватории района значения. Символом «+» обозначены положительные аномалии, «‒» – отрицательные аномалии
F i g. 7. Generalized types of spatial water temperature distribu- tion in the surface layer of the Western Crimea shelf by deviations from the region area averaged value. Key: “+” – positive anomalies, “‒” negative anomalies
и солености воды можно сделать вывод, что ХПС у берегов Западного Крыма формируется в основном на северо-западном шельфе. Ранее по данным съе- мок с высоким разрешением в зимне-весенний период у материкового склона северо-западного шельфа было показано, что адвекция придонных вод в глу- боководную часть моря происходит в основном в районе между 30° и 32° в. д. По среднемесячным климатическим значениям температуры воды на цент- ральном меридиональном разрезе исследуемого района по 32° 45′ в. д. (рис. 8) хорошо видно, что сползание охлажденных вод в сторону открытого моря происходит также и у Крымского побережья.

Р ис . 8 . Среднемесячные климатические значения температуры воды в районе шельфа Западного Крыма на разрезе по 32° 45′ в. д.
F i g. 8. Climatic monthly water temperature in the Western Crimea shelf along the 32° 45′ E section
Соленость
Годовой ход вертикальной структуры солености в районе исследований (рис. 9) условно подразделяется на два сезона. С ноября по май слабая халин- ная стратификация в слое 0‒70 м почти не отличается от стратификации в глу- боководной части Черного моря. В июне ‒ октябре вертикальные градиенты солености растут, по степени стратификации район занимает промежуточное положение между северо-западным шельфом с сильно расслоенными водами и глубоководной частью моря.
Большую часть года прибрежная зона (глубина до 50 м) во всей толще вод более распреснена, чем остальная часть шельфа (рис. 10). С мая по сен- тябрь в подповерхностном слое прибрежной части соленость выше, чем в мо- ристой части, что связано с интенсификацией вертикального перемешивания при апвеллингах.

Р ис . 9 . Среднемесячные климатические вертикальные профили солености на шельфе Западного Крыма: в мори- стой части шельфа (a), в прибрежной зоне (b). Цифры соот- ветствуют календарным месяцам года
F i g. 9. Climatic monthly vertical salinity profiles in the Western Crimea shelf area: in the outer shelf part (a), in the coastal zone (b). Digits stand for calendar month numbers
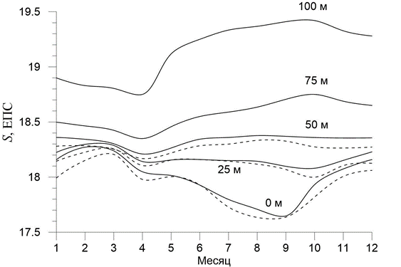
Сезонный ход солености на различных горизонтах в исследуемом районе и во многих других районах Черного моря существенно различается (рис. 11). Достижение минимума солености в поверхностном слое этого района смеще- но на начало осени, тогда как в остальной части Черного моря минимум наблюдается в весенне-летний период. На шельфе Западного Крыма в слое 50–100 м минимум солености достигается в апреле, максимум – в октябре, что также не характерно для моря в целом. Во многом это связано с сезонной динамикой Севастопольского антициклона, влияющего на водообмен района исследования с Основным Черноморским течением и северо-западным шельфом.
Для пространственной халинной структуры вод района (рис. 12) харак- терно наличие клина соленых вод, поступающих из открытого моря и разде- ляющих распресненные воды северо-западного шельфа и прибрежной зоны. С глубиной пространственная ориентация области соленых вод почти не из- меняется.

Р и с . 10. Разница между среднемесячными климатическими значениями солености в прибрежной зоне и мористой части шельфа Западного Крыма. Штриховыми линиями изображены графики солености для месяцев, в которых разница ее значений меняет знак с глубиной, сплошными – в которых не меняет
F i g. 10. Differences between climatic monthly salinity values in the coastal zone and the Western Crimea outer shelf. Dashed lines are salinity diagrams for months when the difference in salinity values changes its sign with depth, solid lines are those for months without changes

Р и с . 11 . Климатический сезонный ход соле- ности на шельфе Западного Крыма для различ- ных глубин. Штриховыми линиями отображены значения в прибрежной зоне (глубина менее 50 м), сплошными – в мористой части шельфа
F i g. 11. Climatic seasonal course of salinity in the Western Crimea shelf area at different depths. Dashed lines denote values in the coastal zone (depth < 50 m), solid lines are those in the outer shelf

Р и с . 12. Среднегодовые климатические значения солености, ЕПС, в районе шельфа Западного Крыма на горизонтах 0 и 50 м
F i g. 12. Climatic yearly salinity fields, psu, in the Western Crimea shelf at depths of 0 and 50 m
Наибольшие отклонения солености от пространственной картины сред- негодового распределения (рис. 13) присущи летнему периоду, когда повы- шается соленость в поверхностном слое прибрежной зоны в условиях межени на малых реках Крыма, сгонов и апвеллингов.

Р и с . 13. Обобщенные типы пространственного распреде- ления солености в поверхностном слое в районе шельфа За- падного Крыма по отклонениям от среднего по акватории района значения. Символом «+» обозначены положительные аномалии, «‒» – отрицательные аномалии
F i g. 13. Generalized types of spatial salinity distribution in the surface layer of the Western Crimea shelf by deviations from the region area averaged value. Key: “+” – positive anomalies, “‒” negative anomalies
Термохалинные индексы
Среднемесячные T,S-кривые качественно соответствуют распределению водных масс в большинстве районов Черного моря (рис. 14). Сезонный ход термохалинных индексов (рис. 15) отражает общие для бассейна законо- мерности. В поверхностном слое при переходе от зимне-весеннего периода к летне-осеннему рост температуры воды сопровождается уменьшением со- лености. В ХПС сезонные изменения характеризуются совместным увеличе- нием температуры и солености воды от зимы к лету. В основном пикноклине сезонный цикл качественно аналогичен циклу поверхностного слоя, но с боль- шей амплитудой колебаний солености и значительно меньшей амплитудой тем- пературы. Характерные петли на T,S-траекториях, возникающие от относитель- ных фазовых сдвигов между сезонными циклами температуры и солености, связаны с различным соотношением вкладов теплового, водного баланса и ин- тенсивности вертикального перемешивания вод.

Р и с . 14. Среднемесячные климатические T,S-кривые в районе шельфа Западного Крыма. Пунктирными линиями изображены кривые в при- брежной зоне (глубина менее 50 м), сплошными ‒ в мористой части шельфа. Цифры соответствуют календарным месяцам года
F i g. 14. Climatic monthly T,S curves in the West- ern Crimea shelf. Dotted lines denote values in the coas- tal zone (depth < 50 m), solid lines are those in the out- er shelf. Digits stand for calendar month numbers

Р и с . 1 5. Климатический сезонный цикл термохалинных индексов на шельфе Западного Крыма для различных глубин. Пунктирными линиями изображены графики для прибрежной зоны (глубина менее 50 м), сплошными ‒ для мористой части шельфа. Цифры соответству- ют месяцам года
F i g. 15. Climatic seasonal course of T,S indices in the Western Crimea shelf for various depths. Dotted lines denote values in the coastal zone (depth < 50 m), solid lines are those in the outer shelf. Digits stand for calendar month numbers
Заключение
На основе данных океанографических наблюдений за 1950–2023 гг. были рассчитаны среднемесячные климатические значения температуры и солено- сти на сетке 10′ × 15′ и выполнен анализ сезонной изменчивости термохалин- ной структуры вод шельфа Западного Крыма.
В пространственной термической структуре района в холодный период года явно выражено зональное распределение с холодной северной и теплой южной частями. В весенне-летний период относительное расположение теп- лых/холодных областей изменяется на меридиональное. ХПС у берегов За- падного Крыма формируется зимой на северо-западном шельфе. В летний период при ослаблении общей циркуляции воды ХПС могут также проникать в исследуемый район из глубоководной части моря.
Пространственная халинная структура вод района характеризуется нали- чием клина соленых вод открытого моря, который разделяет распресненные воды прибрежной зоны и северо-западного шельфа. В сезонном ходе солено- сти на западном шельфе Крыма, в отличие от ее сезонного хода в других райо- нах Черного моря, минимум солености в поверхностном слое наблюдается в начале осени, что связано с региональной циркуляцией вод.
Прибрежная зона на протяжении большей части года более холодная и распресненная, чем мористая часть шельфа. Поверхностный слой в при- брежной зоне при интенсивном прогреве и слабых ветрах теплее, чем в мори- стой части шельфа, в период апреля ‒ мая, а слой глубже сезонного термо- клина теплее в летне-осенний период из-за меньшего теплообмена с ХПС. В подповерхностных слоях соленость прибрежной зоны с мая по сентябрь выше, чем в мористой части, что связано с процессами апвеллинга.
В целом по характеристикам термохалинной структуры вод шельф Запад- ного Крыма является промежуточной зоной между северо-западным шельфом и глубоководной частью Черного моря, водообмен с которой зависит от ин- тенсивности Основного Черноморского течения и Севастопольского анти- циклона. Региональные водные массы или подтипы основных черноморских водных масс в исследуемом районе не выделены.
1. Гидрометеорология и гидрохимия морей СССР. Том 4. Черное море. Вып. 1. Гидрометеорологические условия / Под ред. А. И. Симонова, Э. Н. Альтмана. Санкт-Петербург : Гидрометеоиздат, 1991. 429 с.
2. Блатов А. С., Иванов В. А. Гидрология и гидродинамика шельфовой зоны Черно- го моря. Киев : Наукова думка, 1992. 244 с.
3. Иванов В. А., Белокопытов В. Н. Океанография Черного моря. Севастополь : ЭКОСИ-Гидрофизика, 2011. 209 с.
4. Гидрометеорологические условия морей Украины. Т. 2 : Черное море / Ю. П. Ильин [и др.]. Севастополь : ЭКОСИ-Гидрофизика, 2012. 421 с.
5. Ильин Ю. П. Антициклонические вихри у свала глубин северо-западной части Черного моря: формирование поверхностных образов и спутниковые ИК-наблюде- ния в весенне-летний сезон // Исследования шельфовой зоны Азово-Черноморс- кого бассейна. Севастополь : МГИ НАН Украины, 1995. С. 22–30.
6. Ильин Ю. П., Белокопытов В. Н. Сезонная и межгодовая изменчивость парамет- ров холодного промежуточного слоя в области Севастопольского антициклони- ческого круговорота // Экологическая безопасность прибрежной и шельфовой зон и комплексное использование ресурсов шельфа. 2005. Вып. 12. С. 29–41. EDN YUCFPG.
7. Белокопытов В. Н. Сезонный ход вертикальной термохалинной стратификации вод на Черноморском шельфе Крыма // Экологическая безопасность прибрежной и шельфовой зон моря. 2019. № 3. С. 19‒24. EDN ASAMOV. https://doi.org/10.22449/2413-5577-2019-3-19-24
8. Ломакин П. Д., Чепыженко А. И. Структура полей океанологических величин в зоне апвеллинга у Гераклейского полуострова (Крым) в августе 2019 года // Экологическая безопасность прибрежной и шельфовой зон моря. 2022. № 1. С. 31‒41. EDN JCOWQH. https://doi.org/10.22449/2413-5577-2022-1-31-41
9. Ломакин П. Д., Чепыженко А. И., Чепыженко А. А. Структура полей океанологических величин у северного берега севастопольского взморья (Черное море) в феврале 2020 года // Труды Карадагской научной станции им. Т. И. Вязем- ского-Природного заповедника РАН. 2022. № 1. С. 3‒10. EDN IRQYXS. https://doi.org/10.21072/eco.2022.21.01
10. Комплексные исследования экологического состояния прибрежной акватории Севастополя (Западный Крым, Черное море) / В. И. Рябушко [и др.] // Экологическая безопасность прибрежной и шельфовой зон моря. 2020. № 1. С. 103‒118. EDN HETKTQ. https://doi.org/10.22449/2413-5577-2020-1-103-118
11. Распределение взвешенного вещества у западного побережья Крыма при воздей- ствии сильных ветров различных направлений / А. А. Алескерова [и др.] // Исследование Земли из космоса. 2019. № 2. C. 74‒88. EDN ZIPMWT. https://doi.org/10.31857/S0205-96142019274-88
12. Фоновая характеристика и сезонная изменчивость вертикальной стратификации термохалинного поля у побережья Севастополя / В. Н. Белокопытов [и др.] // Экологическая безопасность прибрежной и шельфовой зон моря. 2002. Вып. 1. С. 22‒29. EDN USBQVS.
13. Tolmazin D. Changing coastal oceanography of the Black Sea, I, Northwestern Shelf // Progress in Oceanography. 1985. Vol. 15, iss. 4. P. 217‒276. https://doi.org/10.1016/0079- 6611(85)90039-4
14. Еремеев В. Н., Латун В. С., Совга Е. Е. Влияние антропогенных загрязнителей и путей их переноса на экологическую обстановку в северо-западном районе Черно- го моря // Морской гидрофизический журнал. 2001. № 5. С. 41‒55. EDN YVONBZ.
15. Антициклонический вихрь рингового типа на свале глубин северо-западной части Черного моря / А. В. Григорьев [и др.] // Экологическая безопасность прибрежной и шельфовой зон моря. 2001. Вып. 3. С. 57‒61. EDN FVBCZF.
16. Seasonal, interannual, and mesoscale variability of the Black Sea upper layer circula- tion derived from altimeter data / G. Korotaev [et al.] // Journal of Geophysical Re- search: Oceans. 2003. Vol. 108, iss. C4. 3122. https://doi.org/10.1029/2002JC001508
17. Морозов А. Н., Лемешко Е. М. Использование Self Contained ADCP для проведе- ния измерений с борта судна: методические вопросы и физические результаты // Экологическая безопасность прибрежной и шельфовой зон моря. 2005. Вып. 13. С. 425‒432. EDN YODZAO.
18. Statistical description of the Black Sea near-surface circulation using drifters in 1999‒2003/ P.-M. Poulain [et al.] // Deep-Sea Research I: Oceanographic Research Papers. 2005.Vol. 52, iss. 12. P. 2250‒2274. https://doi.org/10.1016/j.dsr.2005.08.007
19. Вертикальная структура поля скорости течений в северо-западной части Черного моря по данным LADCP в мае 2004 г. / Е. М. Лемешко [и др.] // Морской гидро- физический журнал. 2008. № 6. С. 25‒37. EDN MHISEP.
20. Горячкин Ю. Н. Придонные течения в Каламитском заливе // Экологическая безопасность прибрежной и шельфовой зон моря. 2008. Вып. 17. С. 258‒264. EDN YQYLGN.
21. Белокопытов В. Н, Никольский Н. В. Устойчивые антициклонические вихри у южного и западного побережья Крыма // Экологическая безопасность прибрежной и шельфовой зон моря. 2015. Вып. 1. С. 47‒53. EDN VHGRAN.
22. Белокопытов В. Н. Ретроспективный анализ термохалинных полей Черного моря на основе методов эмпирических ортогональных функций // Морской гидрофизический журнал. 2018. № 5. С. 412‒421. EDN YMQLYT. https://doi.org/10.22449/0233-7584-2018-5-412-421




