Россия
Цель. Исследуется реакция термоклина на медленное, в течение нескольких суток, и быстрое, до двух суток, изменение скорости течения. Изучается процесс изменения глубины нижней границы верхнего квазиоднородного слоя в зависимости от скорости течения, сопровождающийся изменением толщины и градиента температуры в термоклине. Методы и результаты. Реакции термоклина анализировались по данным дрифтерного эксперимента, который проводился в 2012–2014 гг. Дрифтеры, оборудованные термокосами, позволяли измерять температуру верхнего слоя моря до глубины 80 м. Анализировались данные за холодный период (декабрь – март), полученные в пяти субрегионах, расположенных в зоне действия Основного Черноморского течения в западной и восточной частях моря. Субрегионы выбирались по критерию отсутствия в них синоптических и мезомасштабных вихрей. В субрегионах оценивалось положение дрифтера относительно оси (стрежня) Основного Черноморского течения. По среднесуточным значениям температуры моря строились профили и определялись границы термоклина, глубина нижней границы верхнего квазиоднородного слоя, толщина термоклина и градиент температуры в нем. Анализ показал, что в случае медленного возрастания (уменьшения) скорости течения во всех субрегионах наблюдается заглубление (подъем) нижней границы верхнего квазиоднородного слоя, уменьшение (увеличение) толщины термоклина и увеличение (уменьшение) градиента температуры в нем. Этот процесс объясняется возможным распространением внутренних волн, возбуждаемых изменяющейся скоростью Основного Черноморского течения в термоклине. Выводы. Результаты показали, что флуктуация скорости Основного Черноморского течения увеличивает (уменьшает) глубину нижней границы верхнего квазиоднородного слоя, изменение которой связано с увеличением (уменьшением) толщины термоклина и градиента температуры в нем. Данные дрифтеров содержат информацию о пространственных неоднородностях поля температуры в верхнем слое моря, поэтому для получения более точных оценок процессов необходимо проведение исследования на заякоренных измерительных платформах, установленных в зоне действия Основного Черноморского течения.
верхний квазиизотермический слой, термоклин, геострофическая скорость, поверхностная скорость, Основное Черноморское течение, дрифтер
Введение
Подробный анализ процессов формирования верхнего квазиизотермического слоя моря (ВКС) в период осенне-зимнего перемешивания достаточно хорошо представлен в [1, 2]. Новые технологии в последние годы существенно улучшили представление о механизме турбулентного перемешивания верхнего слоя моря [3‒5]. Использование дрейфующих буев с термокосами (дрифтеров) открыло новые возможности в исследовании ВКС и термоклина в зоне действия Основного Черноморского течения (ОЧТ) [6]. Данные спутниковой альтиметрии, касательные напряжения трения для расчета геострофической и дрейфовой компонент скорости течения [7, 8] и данные термокос дрифтеров позволили получить оценки теплового состояния верхнего слоя моря и реакции термоклина на флуктуацию скорости ОЧТ [9]. В работах [10, 11]показано, что с увеличением скорости ОЧТ толщина ВКС в центре моря уменьшается, а на периферии моря в зоне действия ОЧТ растет. Результаты исследований [9–11] показывают, что глубина термоклина изменяется в зависимости от скорости ОЧТ. Однако остается невыясненным сам механизм процесса, приводящего к деформации термоклина в зоне действия ОЧТ. В предлагаемой работе в продолжение более ранних исследований * делается попытка найти объяснение механизму, вызывающему изменение глубины верхней границы термоклина (нижней границы ВКС), а также его толщины и градиента температуры в нем в зависимости от скорости ОЧТ. Используемый материал и методика обработки Геострофическая и поверхностная скорости в зоне действия ОЧТ, восстановленные по данным спутниковой альтиметрии [7, 8], выбирались из массива океанографических данных, хранящихся в базе Банка океанографических данных МГИ. Из этого же массива выбирались данные о температуре верхнего слоя моря, полученные с термокос дрифтеров.
Для анализа реакции термоклина на изменяющуюся скорость течения выбирались такие участки траектории дрифтеров, на которых они не были захвачены синоптическими или мезомасштабными вихрями, а перемещались в стрежне ОЧТ в период с декабря 2012 г. по февраль 2014 г. Было выбрано пять таких участков (субрегионов): три в западной части, один в восточной части Черного моря и один у Южного берега Крыма (ЮБК) (рис. 1). Анализировался временно́ й интервал с декабря 2012 г. по февраль 2014 г. Выбирались условия, соответствующие гидрологической зиме (январь – март), когда вследствие плотностной конвекции и турбулентного перемешивания нижняя граница ВКС (верхняя граница термоклина) была максимально заглублена [10, 11].

Р и с. 1. Траектории дрифтеров. Цифрами обозначены субрегионы, по которым проводились расчеты
F i g. 1. Drifter trajectories. The numbers indicate the sub-regions for which the calculations were done
Оценка глубины верхней границы термоклина (нижней границы ВКС) проводилась по среднесуточным профилям температуры моря. Точность определения границ термоклина обеспечивалась распределением датчиков температуры на термокосе: верхний датчик термокосы находился на глубине 0,2 м, следующие – на глубинах 10; 12,5; 15 м и далее через 5 м до глубины 80 м [6, 10]. Поскольку температура в ВКС изменяется плавно, то границы термоклина определялись с точностью ±5 м. По этим границам оценивались толщина термоклина ΔZ (м) и разность температуры в нем ΔT (°C) с после-
дующим вычислением градиента температуры ΔT/ΔZ (°C/м). Для удобства анализа проводилось обезразмеривание исследуемых параметров. В качестве нормировочных величин брались характерные масштабы изменчивости аномалий скорости течения (Vп = 0,1 м/c), глубины нижней границы ВКС (Zп =
= 1 м), толщины термоклина (ΔZп = 1 м) и градиента температуры в термоклине ((ΔT/ΔZ)п = 0,01 °C/м). Безразмерные значения характеристик термоклина обозначены символом «*».
Для каждого субрегиона (рис. 1) оценивалось положение дрифтера относительно зоны максимальной скорости (стрежня) ОЧТ. С этой целью для субрегионов выполнялся расчет широтной изменчивости геострофической (поверхностной) скорости на меридианах, ограничивающих выбранные участки траектории. Для последующего анализа выбирались те участки траектории дрифтера, на которых он перемещался в области максимального значения зональной компоненты скорости ОЧТ. В качестве примера на рис. показаны значения зональной и меридиональной компонент геострофической
скорости в субрегионе 1.

Р и с. 2. Зональная (сплошная линия) и меридиональная (пунктирная линия) компоненты Vg, м/c, в субрегионе 1 на 17.01.2013 г. (а), 19.01.2013 г. (b) и 22.01.2013 г. (c). Штриховые линии – широтное положение дрифтера
F i g. 2. Zonal (solid line) and meridional (dashed line) components of Vg, m/s in the sub-region 1 on 17.01.2013 (a), 19.01.2013 (b), and 22.01.2013 (c). Dashed lines show the drifter latitude position
На рис. 2 хорошо видно, что в течение всего анализируемого временно́го интервала (17, 19 и 22 января 2013 г.) максимальные значения зональной компоненты геострофической скорости наблюдались на тех же широтах, на которых проходила траектория дрифтера.
Результаты и их анализ
Прежде чем рассматривать изменчивость глубины ВКС (верхней границы термоклина) в зависимости от изменяющейся скорости течения, необходимо напомнить, что эти процессы в выделенных субрегионах происходили в разные временны́е отрезки гидрологической зимы. Для субрегионов 1–3
характерны процессы, развивающиеся со второй половины января до конца марта, а в субрегионах 4 и 5 наблюдались процессы, характерные для начала гидрологической зимы (декабрь – первая половина января). К тому же субрегионы 4 и 5, расположенные в западной части моря, находятся в области преобладания северо-восточного ветра, который во многом определяет интенсивность ОЧТ [10, 11]. В то же время в субрегионах 1–3 изменчивость глубины нижней границы ВКС была значительно связана с флуктуацией геострофической скорости и незначительно – с изменчивостью поверхностной скорости. При этом глубина этой границы в субрегионах 4 и 5 значительно изменялась под воздействием поверхностной скорости течения.
На рис. 3 представлены графики среднесуточных глубин нижней границы ВКС и скорости течения. Важно отметить, что в субрегионе 1 во второй половине января – начале февраля 2013 и 2014 гг. и в субрегионе 5 в январе 2013 и 2014 гг. измерения проводились двумя дрифтерами. Это позволило сравнить гидрологические процессы в разные годы. На рис. 3, а показано из- менение глубины термоклина в зависимости от геострофической скорости в субрегионе 1. Хорошо видно, что отрицательный тренд геострофической скорости с 01.02.2014 г. по 10.02.2014 г. сопровождался подъемом нижней границы ВКС на меньшие глубины. Такой же характер изменчивости геострофической скорости и глубины термоклина наблюдался в январе 2013 г. (рис. 3, b). Отметим, что этот процесс не может происходить вследствие ослабления конвективного перемешивания ВКС, так как плотностная конвекция и турбулентное перемешивание в середине зимы могут только увеличивать толщину ВКС [1, 2]. Оценка среднесуточной изменчивости глубины нижней границы ВКС в зависимости от геострофической скорости, полученная по данным за 6–8 февраля 2014 г. (рис. 3, а), показывает, что уменьшение скорости на 0,06 м/c сопровождалось подъемом нижней границы ВКС на 8 м.
В субрегионе 2 (рис. 3, c) рост геострофической скорости сопровождался заглублением нижней границы ВКС. Здесь среднесуточный рост геострофической скорости определялся по данным за 5–7 марта 2013 г. Результаты показали, что рост геострофической скорости на 0,09 м/c вызвал увеличение глубины нижней границы ВКС на 8 м. У ЮБК (рис. 3, d) среднесуточный рост и уменьшение геострофической скорости определялись по данным за 26–28 марта и 28–30 марта 2013 г. соответственно. Оценки показали, что c ростом геострофической скорости на 0,06 м/c происходило заглубление нижней границы ВКС на 5 м, а уменьшение скорости на 0,02 м/c сопровождалось подъемом этой границы на 5 м. Из- менчивость глубины нижней границы ВКС в зависимости от скорости течения подтверждается также измерениями в субрегионах 4, 5 (рис. 3, e, f), где в качестве скорости течения использовалась ее дрейфовая (поверхностная)

Р и с. 3. Глубина нижней границы ВКС (Z*) в зависимости от геострофической скорости течения (Vg*) в субрегионах 1 (а, b), 2 (c), 3 (d) и поверхностной скорости течения (Vп*) в субрегионах 4 (e) и 5(f)
F i g. 3. Depth of the UML lower boundary (Z*) depending on the current geostrophic velocity (Vg*) in the sub-regions 1 (а, b), 2 (c), 3 (d) and the current surface velocity (Vs*) in the sub-regions 4 (e) and 5(f)
На рис. 3, е, f хорошо видно, что рост поверхностной скорости приводил к заглублению нижней границы ВКС, а понижение скорости – к ее подъему на меньшие глубины. Оценки изменения глубины нижней границы ВКС в зависимости от геострофической и поверхностной скорости весьма приблизительны. С учетом точности определения глубины нижней границы ВКС ±5 м приведенные выше оценки показывают, что датчики термокос дрифтеров могут фиксировать изменение нижней границы ВКС, начиная с измене-
ния скорости течения около 0,1 м/c. По-видимому, этим можно объяснить существование на рис. 3, а, е участков с постоянными глубинами нижней границы ВКС при изменяющейся скорости течения. Необходимо также учитывать, что дрифтер, перемещаясь в границах субрегиона, мог попадать в водные массы с отличающимися физическими характеристиками среды, поэтому положение изотерм, определяющих ниж-
нюю границу термоклина, зависело не только от скорости течения. Измене-
ние скорости ОЧТ вызывает изменение интенсивности турбулентного пере-
мешивания, влияющего на положение нижней границы ВКС и характеристи-
ки термоклина. Тем не менее оценки показывают, что процесс изменения глубины нижней границы ВКС в зависимости от скорости течения, зафикси-
рованный термокосами дрифтеров, не случаен и наблюдается в зоне ОЧТ как в западной, так и в восточной частях моря.
На рис. 3, а, e обращают на себя внимание процессы быстрого (в течение одних – двух суток) изменения глубины нижней границы ВКС в зависимости от скорости течения. В субрегионе 1 (рис. 3, а) уменьшение геострофической скорости на 0,1 м/c с 1 по 3 февраля 2014 г. сопровождалось подъемом ниж-
ней границы ВКС на 10 м. В субрегионе 4 (рис. 3, e) рост поверхностной ско-
рости с 18 по 20 декабря 2012 г. на 0,05 м/c сопровождался заглублением этой границы на 5 м, а уменьшение скорости течения с 20 по 21 декабря на 0,07 м/c – подъемом нижней границы ВКС на 5 м. Эти процессы быстрого («импульсного») изменения глубины нижней границы ВКС рассмотрены в работе [9], в которой подобная деформация термоклина была связана с усилением приземного ветра и, соответственно, поверхностного течения при выходе на акваторию Черного моря холодных воздушных масс. Это интенсифицировало суммарную теплоотдачу с поверх-
ности моря и турбулентное перемешивание верхнего слоя моря, что и выра-
зилось в заглублении нижней границы ВКС и последующем подъеме ее на меньшие глубины после прекращения холодного вторжения.
Отличие «импульсной» деформации нижней границы ВКС от медленной, происходящей в течение нескольких дней, будет показано при анализе из-
менчивости толщины термоклина и градиента температуры в нем. Cледует отметить, что «импульсный» процесс заглубления нижней границы ВКС мо-
жет происходить и при отсутствии заметного выхолаживания поверхности моря вследствие вторжения холодного воздуха. В этом случае деформация нижней границы ВКС происходит благодаря быстрому повышению скорости течения (рис. 3, f).
Показанные на рис. 3 зависимости глубины нижней границы ВКС от из-
меняющейся скорости ОЧТ позволяют представить их в виде регрессионного графика. Для этого были вычислены отклонения геострофической скорости от средней ее величины за весь многосуточный интервал наблюдения в каж-
дом из субрегионов 1–3. Для субрегионов 4 и 5 вычислялись отклонения по-
верхностной скорости. Был получен ряд безразмерных аномалий геострофи-
ческой скорости Vg* и поверхностной скорости Vп*. Аналогичным образом вычислялся ряд аномалий глубины нижней границы ВКС Z*. По полученным
безразмерным величинам – аномалии Vg*, Z* и Vп*, Z* – были построены ре-
МОРCКОЙ ГИДРОФИЗИЧЕСКИЙ ЖУРНАЛ том 38 № 1 2022 грессионные графики (рис. 4). Несмотря на значительный разброс данных, коэффициент корреляции между значениями Vg* и Z* составил 0,64. При этом отношение коэффициента корреляции R к ошибке его вычисления (R/σ) равнялось 6,4, что соответствует значимости величины R на уровне 95%-ной доверительной вероятности. Линейная аппроксимация полученной зависимости позволяет выразить ее в виде регрессионного соотношения Z* = 12,5 ⋅ Vg* − 2,5. Коэффициент корреляции между значениями Vп* и Z*
составил 0,55, а отношение R/σ = 4,2, что также соответствует значимости
величины R на уровне 95%-ной доверительной вероятности. Линейную аппроксимацию безразмерной глубины нижней границы ВКС в зависимо-
сти от поверхностной скорости можно представить в виде

Р и с. 4. Зависимость аномалий глубины нижней границы ВКС от геострофической скорости течения в субрегионах 1‒3 (а) и поверхностной скорости течения в субрегионах 4‒5 (b)
F i g. 4. Dependence of anomalies in the depth of the UML lower boundary on the current geo-strophic velocity in the sub regions 1–3 (a) and the current surface velocity in the sub-regions 4–5 (b)
Таким образом, обобщенные аномалии Z*, Vg* и Vп*, представленные на рис. 4, в субрегионах 1‒5, расположенных в западной и в восточной частях моря, показывают, что возрастание геострофической и поверхностной скорости в зоне действия ОЧТ приводит к заглублению нижней границы ВКС, а ослабление скорости вызывает ее подъем на меньшие глубины. Этот результат подтверждает выводы, полученные в работе [9] для западной части моря. Наряду с изменяющейся глубиной нижней границы ВКС в зоне действия ОЧТ меняются толщина термоклина и градиент температуры в нем. Для оценки этих параметров использовались данные всех субрегионов, за исключением субрегиона 3. Измерения в этом субрегионе проводились в конце гидрологической зимы, когда перемешивание верхнего слоя достигло максимальных глубин, поэтому нижняя граница термоклина оказалась на глубине, превышающей максимальную длину термокосы (80 м).
Изменение толщины термоклина в зависимости от глубины нижней границы ВКС показано на рис. 5, где хорошо видно, что в субрегионе 2 (рис. 5, c) длительное заглубление нижней границы ВКС с 4 по 12 марта 2013 г. сопровождалось тенденцией к уменьшению толщины термоклина. Сложнее выглядел этот процесс в субрегионах 1 и 4, так как в этом случае наблюдались как долговременная, так и кратковременная («импульсная») изменчивость толщины термоклина в зависимости от изменения глубины нижней границы ВКС. В субрегионе 1 (рис. 5, а) долговременный подъем нижней границы ВКС на меньшие глубины начался 3 февраля 2014 г. и сопровождался ростом толщины термоклина до 10 февраля 2014 г. До 3 февраля 2014 г. наблюдались процессы, связанные с «импульсным» изменением глубины нижней границы ВКС, вызванным, как было отмечено выше, флуктуацией геострофической скорости, сопровождающейся интенсивным перемешиванием ВКС [9]. По-видимому, с этим связано увеличение толщины термоклина, которое наблюдалось при его заглублении с 29 по 31 января 2014 г. После прекращения кратковременного заглубления нижней границы ВКС и последующего подъема нижней границы ВКС на меньшие глубины 2–3 февраля 2014 г. толщина термоклина уменьшилась. После 3 февраля начался долговременный подъем нижней границы ВКС на меньшие глубины, сопровождавшийся увеличением толщины термоклина. Такой же характер «импульсного» заглубления нижней границы ВКС, сопровождавшийся увеличением толщины термоклина, наблюдался в субрегионе 4 с 18 по 19 декабря 2012 г. (рис. 5, d).
Хорошо видно, что прекращение «импульсного» форсинга с 20 по 22 декабря [9] привело к подъему нижней границы ВКС на меньшие глубины, при этом толщина термоклина уменьшилась. С 23 до 28 декабря 2012 г. начался процесс долговременного заглубления нижней границы ВКС, для которого характерна тенденция к уменьшению толщины термоклина. Данные по субрегиону 5 показывают (рис. 5, e), что «импульсный» характер заглубления нижней границы ВКС может, по-видимому, реализоваться и без заметного конвективного перемешивания. Этот процесс может управляться только изменяющейся поверхностной скоростью течения. Как видно на рис. 5, e, заглубление нижней границы ВКС, наблюдавшееся с 7 на 8 января 2013 г., сопровождалось уменьшением толщины термоклина, а подъем нижней границы ВКС на меньшие глубины, происходивший с 8 на 9 января, сопровождался увеличением толщины термоклина.

Р и с. 5. Изменение толщины термоклина в зависимости от глубины нижней границы ВКС в субрегионе 1 (а, b), в субрегионе 2 (c), в субрегионе 4 (d), в субрегионе 5 (e)
F i g. 5. Change in the thermocline thickness depending on the depth of the UML lower boundary in the sub-regions 1 (a, b), 2 (c), 4 (d) and 5 (e)
Изменение толщины термоклина в зависимости от изменения глубины нижней границы ВКС, обобщенное по четырем субрегионам, представлено в виде регрессионного графика на рис. 6. Для построения рис. 6 использовались безразмерные аномалии толщины термоклина ΔZ* и глубины нижней границы ВКС Z*, которые вычислялись таким же образом, как для построения рис. 4

Р и с. 6. Зависимость аномалии толщины термоклина ΔZ* от аномалии глубины нижней границы ВКС Z*
F i g. 6. Dependence of the thermocline thickness anomaly ΔZ* upon the anomaly of the UML lower boundary depth Z*
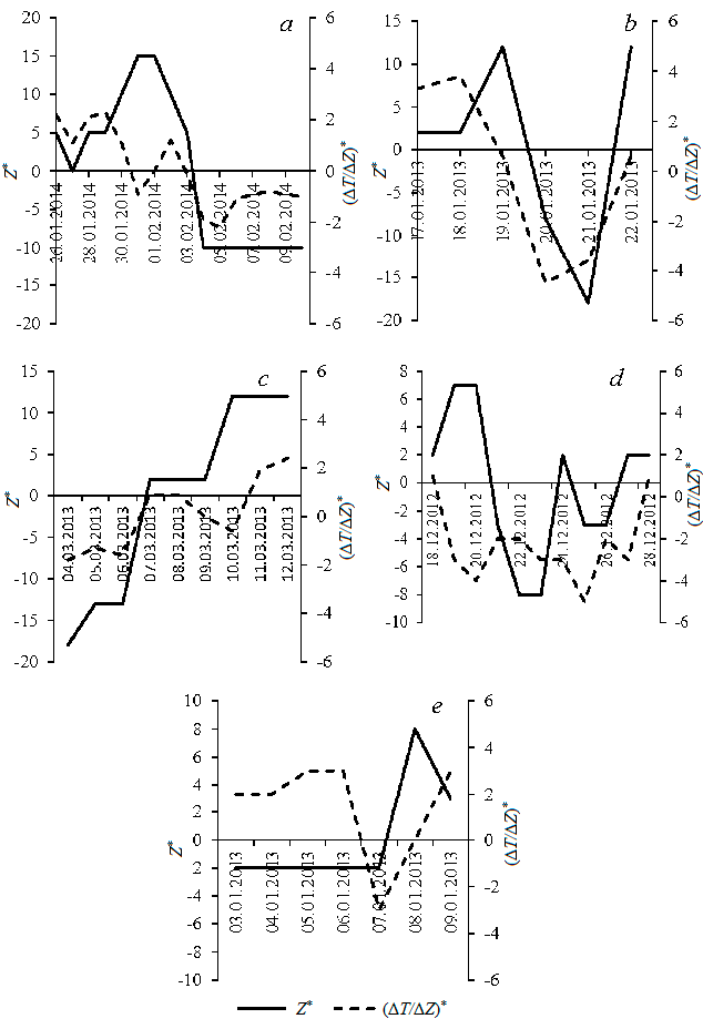
График на рис. 6 строился по массиву, из которого были удалены данные, характеризующие кратковременное («импульсное») заглубление нижней границы ВКС в субрегионах 1 и 4. Таким образом, регрессионный график (рис. 6) представляет процессы, характерные для долговременной изменчивости глубины нижней границы ВКС в субрегионах 1, 2, 4 и кратковременной изменчивости Z* в субрегионе 5. Следовательно, на рис. 6 показана устойчивая тенденция к уменьшению толщины термоклина при заглублении нижней границы ВКС и ее увеличению при подъеме нижней границы ВКС на меньшие глубины. Линейная аппроксимация этого процесса характеризуется высокими значениями отношения коэффициента корреляции (R = −0,76) к ошибке его вычисления (R/σ = 11,7), что соответствует значимости линейной аппроксимации на уровне 99%-ной доверительной вероятности. Регрессионный график ΔZ*/Z* можно представить в виде соотношения ΔZ* = –0,69 Z* – 1,33. Таким образом, представленные на рис. 6 результаты позволяют сделать вывод, что процесс долговременного заглубления нижней границы ВКС, который наблюдается при увеличении скорости течения в зоне ОЧТ, сопровождается уменьшением толщины термоклина (сжатие термоклина). Долговременное уменьшение глубины нижней границы ВКС при ослаблении скорости течения в зоне ОЧТ сопровождается увеличением толщины термоклина (расширение термоклина). Этот процесс характерен как для многосуточного режима изменчивости скорости течения, так и для кратковременного («им- пульсного») изменения скорости течения, при котором не происходит интенсивного перемешивания ВКС. При кратковременном («импульсном») изменении скорости течения, когда при вторжении холодного воздуха на акваторию моря происходит интенсивное перемешивание ВКС, процесс деформации термоклина происходит по-другому [9]. В этом случае при заглублении нижней границы ВКС происходит увеличение толщины термоклина (расширение термоклина), а при подъеме нижней границы ВКС на меньшие глубины после окончания атмосферного форсинга наблюдается уменьшение толщины термоклина (сжатие термоклина). Изменение толщины термоклина, вызываемое изменением глубины нижней границы ВКС и скорости течения в зоне действия ОЧТ, приводит к изменению градиента температуры в нем. Сжатие термоклина при заглублении нижней границы ВКС ведет к увеличению значения ΔT/ΔZ, расширение термоклина при уменьшении глубины нижней границы ВКС – к уменьшению ΔT/ΔZ. Этот процесс показан на рис. 7, где представлены ситуации в субрегионах 1 (рис. 7, а, b), 2 (рис. 7, c), 4 (рис. 7, d) и 5 (рис. 7, e). Для построения графиков также использовались безразмерные величины Z* и (ΔT/ΔZ)*.

Р и с. 7. Изменение градиента температуры (ΔT/ΔZ)* в термоклине в зависимости от глубины нижней границы ВКС Z* в субрегионах 1 (а, b), 2 (c), 4 (d), 5 (e)
F i g. 7. Temperature gradient change (ΔT/ΔZ)* in the thermocline depending on the depth of the UML lower boundary Z* in the sub-regions 1 (а, b), 2 (c), 4 (d) and 5 (e)
Как хорошо видно, многосуточная тенденция к росту глубины нижней границы ВКС характерна для увеличения скорости течения и сопровождается ростом градиента температуры в термоклине. И наоборот, многосуточная тенденция к уменьшению глубины нижней границы ВКС сопровождается тенденцией к уменьшению градиента температуры в термоклине. При кратковременном (в течение 1–2 сут) изменении глубины нижней границы ВКС, которое показано на рис. 7, b, d (субрегионы 1, 4), градиент температуры в термоклине уменьшался при заглублении нижней границы ВКС с 29 по 31 января 2014 г. (рис. 7, b) и с 18 по 20 декабря 2012 г. (рис. 7, d). При подъеме нижней границы ВКС на меньшие глубины наблюдалось сжатие термоклина и, соответственно, рост градиента температуры в нем с 1 по 3 февраля 2014 г. (рис. 7, b) и с 29 по 22 декабря 2012 г. (рис. 7, d).
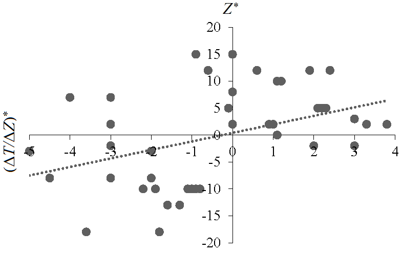
Представленная связь градиента температуры в термоклине и глубины нижней границы ВКС показана на рис. 8 в виде регрессионного графика.

Р и с. 8. Зависимость градиента температуры (ΔT/ΔZ)* в термоклине от глубины нижней границы ВКС Z*
F i g. 8. Dependence of the temperature gradient (ΔT/ΔZ)* in the thermocline on the depth of the UML lower boundary Z*
Заметный разброс данных на графике, связанный отчасти и с тем, что здесь представлены как долговременные, так и кратковременные изменения глубины нижней границы ВКС, тем не менее показывает характерную изменчивость анализируемых параметров. В субрегионах 1, 2, 4, 5 заглубление нижней границы ВКС вызывает сжатие термоклина и возрастание градиента температуры в нем, а подъем нижней границы ВКС на меньшие глубины сопровождается расширением термоклина и уменьшением градиента температуры в нем. Корреляция между градиентом температуры (ΔT/ΔZ)* и глубиной нижней границы ВКС Z* незначительная (R = 0,41), но использование сравнительно большого числа данных (N = 49) позволяет уменьшить ошибку вычисления R. В результате величина R/σ = 3,4, что дает возможность считать линейную аппроксимацию зависимости Z*/(ΔT/ΔZ)* значимой на уровне 95%-ной доверительной вероятности. Эту зависимость можно представить в виде соотношения: (ΔT/ΔZ)* = 0,11 Z* – 0,28.
Обсуждение результатов и заключение
Полученные результаты (рис. 3‒8) характеризуют динамику термоклина в зоне действия ОЧТ. Учитывая, что ОЧТ интенсифицируется в зимний период [4, 10–13], полученные оценки реакции нижней границы ВКС на изменяющуюся скорость ОЧТ справедливы для этого времени года. Дрифтер, парус которого располагается на глубине 10–15 м [6], перемещается в области максимальных скоростей ОЧТ [10]. Таким образом, термокосы дрифтеров измеряют все особенности вертикальной структуры поля температуры в зоне действия ОЧТ. Предварительные соображения о возможном механизме изменения глубины верхней границы термоклина можно привести с учетом лоткового эксперимента, описанного в работе [14]. Эксперимент показал, что по мере продвижения придонного потока в вышележащих слоях стратифицированной жидкости наблюдаются характерные волнообразные колебания. Позднее существование подобных возмущений, вносимых придонными гравитационными течениями в вышележащие слои, было изучено в [15]. В нашем случае эти результаты могут представлять интерес, если допустить, что в стратифицированной жидкости, какой является верхний слой моря, распространяется поток в виде затопленной струи. В этом случае можно ожидать, что возмущения, возникающие в пограничной области струи, будут распространяться как в выше-, так и в нижележащие слои моря. Известно, что вертикальный профиль ОЧТ показывает максимальные значения скорости течения на глубине 10–25 м, а глубина верхней границы термоклина изменяется в диапазоне 40–60 м [10]. Результаты, полученные нами и представленные на рис. 3, соответствуют этим оценкам. Учитывая это, можно полагать, что возмущения, вносимые струей ОЧТ в область максимальных температурных градиентов, будут проявляться заметнее в термоклине, чем в ВКС, что и было показано на рис. 3.
Некоторое подтверждение реальности такого процесса возмущения можно найти в работе [16], в которой анализируются гидрологические разрезы, выполненные на НИС Bilim в районе ОЧТ западнее Крыма и у Анатолийского побережья. Мы сопоставили скорости ОЧТ и положение изотерм и изохалин в районе стрежня течения, представленных в этой работе. Оказалось, что на горизонтах, меньших глубины оси ОЧТ, изотермы и изохалины изгибались в область меньших глубин. В то же время изоповерхности в термоклине, расположенные глубже оси ОЧТ, опускались на бо́льшие глубины. Эти результаты можно считать подтверждением на качественном уровне предположения о возможности рассматривать возмущения, вызываемые ОЧТ, как возмущения, характерные для пограничного слоя затопленной струи. Сравним полученные в выделенных субрегионах результаты с климатическими оценками по всему морю, сделанными по параметрам, взятым из [10]. Для этого воспользуемся таким критерием подобия, как число Фруда: Fr = V/(g′H)½, где V – геострофическая или поверхностная скорость течения, м/с; g′ – редуцированное ускорение силы тяжести; H – глубина нижней границы ВКС, м. Редуцированное ускорение силы тяжести определяется следующим образом: g′ = gαΔT, где g = 9,8 м/с2; α – коэффициент термического (объемного) расширения, а ΔT – разность температур на верхней и нижней границах термоклина. В качестве климатической оценки скорости ОЧТ можно принять значение 0,15 м/c, глубины верхней границы ВКС – 35 м, разно-
сти температуры на границах термоклина – 2,5 °С [10]. Принимая величину α равной 1,5·10-4 °С–1, сравним значения числа Фруда в субрегионах с его климатическим значением 0,62:
Здесь хорошо видно: в западной части моря в субрегионе 1 число Фруда Здесь хорошо видно: в западной части моря в субрегионе 1 число Фруда превышало критическое значение, а в субрегионе 5 приближалось к нему. Это происходило главным образом вследствие относительно большой средней скорости течения (более 0,3 м/c). В этих же субрегионах была максимальная глубина нижней границы ВКС (46 и 50 м соответственно). В субрегионах 2 и 4 число Фруда было близко к климатическому значению, что характерно, по-видимому, для средних скоростей течения 0,2–0,25 м/с и глубины нижней границы ВКС 35–40 м.
Эти выборочные оценки дают основание полагать, что в зоне действия ОЧТ существуют и другие субрегионы, не включенные нами в рассмотрение, в которых число Фруда будет меньше климатического значения и в которых можно ожидать развитие процессов, отличных от описанных. Заключение
В заключение подведем предварительные итоги исследования реакции термоклина на изменяющуюся скорость ОЧТ. Отметим, что информация, получаемая с термокос дрифтеров, содержит данные о пространственной неоднородности водных масс, в которых перемещается дрифтер. Это вносит дополнительный шумовой эффект, понижающий точность оценки реакции нижней границы ВКС на изменяющуюся скорость течения. И тем не менее статистическая достоверность оценок изменения глубины термоклина в зависимости от скорости течения позволяет считать, что этот процесс требует целенаправленного изучения. Пока не ясен механизм, вызывающий сжатие термоклина при его заглублении и расширение при подъеме на меньшие глубины в случае медленного (в течение нескольких суток) изменения скорости течения в зоне действия ОЧТ. Материалы дрифтерного эксперимента и спутниковой альтиметрии, использовавшиеся в данной работе, не позволяют утверждать, что ОЧТ играет существенную роль в формировании динамики термоклина. Более надежные оценки этих процессов можно будет получить, выполнив исследования на стационарных (заякоренных) платформах, установленных в зоне действия ОЧТ.
1. Булгаков Н. П. Конвекция в океане. М. : Наука, 1975. 272 с.
2. Конвективное перемешивание в море / Под ред. А. Д. Добровольского. М. : Изд-вМосковского университета, 1977. 239 с.
3. Самодуров А. С., Чухарев А. М. Оценка интенсивности вертикального турбулентного обмена в Черном море по экспериментальным данным // Экологическая безопасность стополь : ЭКОСИ-Гидрофизика, 2006. Вып. 14. С. 524–529.
4. Подымов О. И., Зацепин А. Г., Островский А. Г. Вертикальный турбулентный обмен в черноморском пикноклине и его связь с динамикой вод // Океанология. 2017. Т. 57, № 4. С. 546–559. doihttps://doi.org/10.7868/S0030157417040049
5. Морозов А. Н., Лемешко Е. М. Оценка коэффициента вертикальной турбулентной диффузии по данным СТД/LADCP-измерений в северо-западной части Черного моря в мае 2004 года // Морской гидрофизический журнал. 2014. № 1. С. 58–67.
6. Толстошеев А. П., Лунев Е. Г., Мотыжев С. В. Анализ результатов натурных экспериментов с термопрофилирующими дрейфующими буями в Черном море и других районах Мирового океана // Морской гидрофизический журнал. 2014. № 5. С. 9–32.
7. Кубряков А. А., Станичный С. В. Восстановление средней динамической топографии Черного моря для альтиметрических измерений // Исследование Земли из космоса. 2011. № 5. С. 24–30.
8. Kubryakov A. A., Stanichny S. V. Reconstruction of mean dynamic topography of the Black Sea for altimetry measurements // Izvestiya, Atmospheric and Oceanic Physics. 2012. Vol. 48, iss. 9. P. 973–979. doihttps://doi.org/10.1134/S0001433812090095
9. Cизов А. А., Баянкина Т. М., Юровский А. В. Исследование процесса перемешивания верхнего слоя Черного моря в зоне действия Основного Черноморского течения в зимний период по данным дрифтеров // Морской гидрофизический журнал. 2019. Т. 35, № 3. С. 287–298. doihttps://doi.org/10.22449/0233-7584-2019-3-287-298
10. Иванов В. А., Белокопытов В. Н. Океанография Черного моря. Севастополь, 2011. 212 с.
11. Изменчивость толщины перемешанного слоя в Черном море и ее связь с динамикой вод и атмосферным воздействием / А. А. Кубряков [и др.] // Морской гидрофизический журнал. 2019. Т. 35, № 5. С. 449–468. doihttps://doi.org/10.22449/0233-7584-2019-5-449-468
12. Mesoscale water dynamics / A. I. Ginzburg [et al.] // The Black Sea environment / A. G. Kostianoy, A. N. Kosarev (eds.). Berlin ; Heidelberg : Springer, 2008. P. 195–215. (Handbook of Environmental Chemistry; vol. 5). doihttps://doi.org/10.1007/698_5_062
13. Kubryakov A. A., Stanichny S. V. Seasonal and interannual variability of the Black Sea eddies and its dependence on characteristics of the large-scale circulation // Deep Sea Research Part I: Oceanographic Research Papers. 2015. Vol. 97. P. 80–97. doihttps://doi.org/10.1016/j.dsr.2014.12.002
14. The propagation of a gravity current into a linearly stratified fluid / T. Maxworthy [et al.] // Journal of Fluid Mechanics. 2002. Vol. 453. P. 371–394. doihttps://doi.org/10.1017/S0022112001007054
15. Гриценко В. А., Чубаренко И. П. Об особенностях структуры фронтальной зоны придонных гравитационных течений // Океанология. 2010. Т. 50, № 1. С. 32–39.
16. Oguz T., Besiktepe S. Observations on the Rim Current structure, CIW formation and transport in the western Black Sea // Deep Sea Research Part I: Oceanographic Research Papers. 1999. Vol. 46, iss. 10. P. 1733–1753. https://doi.org/10.1016/S0967-0637(99)00028-X



