Россия
Россия
Цель. Рассмотрены особенности содержания и распределения кислорода в водах Черного моря и проанализировано соотношение наблюдаемых изменений в распределении кислорода, общего уровня первичной продукции и изменений в температурном режиме, который является показателем интенсивности вентиляции вод холодного промежуточного слоя. Методы и результаты. Для анализа содержания кислорода были использованы экспедиционные данные (за 2015–2019 гг.), а также массив данных из Банка океанографических данных Морского гидрофизического института РАН (за 1980–2013 гг.). Из массива были отобраны данные для глубоководной части Черного моря (глуби́ ны более 200 м). Для анализа величины первичной продукции были использованы данные судовых измерений концентрации хлорофилла а, полученные флуорометрическим методом, за 1980–2001 гг., а также данные о поверхностной концентрации хлорофилла а, полученные с помощью дистанционного зондирования сканерами цвета SeaWiFS и MODIS-Aqua, за 1998–2019 гг. Расчет величины первичной продукции производился по регрессионным уравнениям вида y = a + bx, связывающим первичную продукцию в столбе воды с концентрацией поверхностного хлорофилла. По рассчитанным данным видно, что в первой половине 1980-х гг. был значительный рост годовой первичной продукции до 400 г С/м2·год, с 1985 по 1995 г. она снизилась в среднем до ~ 140 г С/м2·год, а с 1998 г. по настоящее время находится на уровне ~ 100 г С/м2·год. Такой ход величины первичной продукции соответствует наблюдаемым изменениям в вертикальном распределении нитратов. Показана тенденция к росту температуры ядра холодного промежуточного слоя, приводящая к снижению концентрации кислорода в глубинных слоях. Выводы. На фоне тенденции к увеличению температуры верхних слоев водной толщи и снижению интенсивности зимнего конвективного перемешивания наблюдается снижение запаса кислорода во всех слоях аэробной зоны Черного моря. Это привело к тому, что в 2010 г. наблюдалось самое низкое содержание кислорода за весь период наблюдений. Вместе с тем процесс дистрофикации способствовал возвращению системы Черного моря к своему естественному состоянию, когда динамика содержания кислорода определяется в основном изменчивостью интенсивности физической вентиляции вод.
кислород, концентрация кислорода, эвтрофикация, первичная продукция, холодный промежуточный слой, Черное море
Введение
Растворенный кислород является одним из наиболее важных гидрохимических компонентов, обеспечивающих жизнедеятельность живых организмов в водной толще. Кислород в морской воде необходим для следующих окислительных процессов: дыхания живых организмов и окисления органических и восстановленных неорганических веществ естественного и антропогенного происхождения. Как и для всего Мирового океана [1], для Черного моря [2, 3] характерна тенденция к снижению содержания кислорода, однако соотношение и приоритет биогеохимических и физических процессов остается дискуссионным вопросом [2, 4]. Этот вопрос особенно важен для Черного моря, поскольку его во́ ды на больших глубинах содержат сероводород, а действие физических, биохимических, биологических и гидродинамических процессов определяет наличие и динамику кислорода в верхнем, достаточно тонком слое (до 150−180 м).
Бюджет кислорода в водной толще определяется соотношением процессов его поступления и расходования. В случае баланса поступления и расходования и неизменности гидродинамических процессов распределение кислорода не изменяется. В водную толщу кислород поступает через границу вода – атмосфера, а также в процессе фотосинтеза и распространяется в обедненные слои посредством обменных гидродинамических процессов. Расходуется кислород на дыхание организмов, а также на окисление органических веществ и восстановленных форм железа, марганца, соединений азота и др. Основным источником органического вещества в морской воде является первичная продукция фитопланктона, при которой благодаря фотосинтетическим процессам в фотическом слое из СО2 синтезируются органические соединения. Одним из важнейших параметров для характеристики биомассы фитопланктона и расчета первичной продуктивности является концентрация хлорофилла а в поверхностном слое вод моря [5]. Благодаря спутниковым наблюдениям ее изменчивость может быть изучена в широком диапазоне пространственных и временны́ х масштабов.
Запас кислорода в аэробной зоне в холодном промежуточном слое (ХПС) обусловлен интенсивностью зимней конвекции, а в более глубоких слоях – процессами трансформации средиземноморских вод, обеспечивающими поступление кислорода в слои его максимального проникновения, и интенсивностью его потребления в окислительно-восстановительных биогеохимических и биологических процессах.
В опубликованных до 2010 г. работах (например, [6]) было показано, что наблюдаемое снижение содержания кислорода в водах Черного моря связано именно с увеличением потока органического углерода. Влияние этого потока не могло быть уравновешено даже наблюдавшимся снижением температуры
и повышением интенсивности физических вентиляционных процессов. Тем более удивительными были результаты продолжающегося снижения содержания кислорода после завершения эвтрофикации в Черном море [7], а затем и в процессе снижения трофического уровня (дистрофикации) Черного моря [2–4].
Целью данной работы является рассмотрение особенностей содержания и распределения кислорода в водах Черного моря и анализ соотношения наблюдаемых изменений в распределении кислорода, общего уровня первичной продукции и изменений в температурном режиме вентиляции вод ХПС.
Материалы и методы
Современные данные о содержании и распределении кислорода в водах Черного моря за 2015–2019 гг. были получены в экспедициях Морского гидрофизического института (МГИ) РАН в северо-западной, северной и северовосточной частях Черного моря (рис. 1). За более ранний период, 1980– 2013 гг., данные были взяты из Банка океанографических данных МГИ [8].

Р и с. 1. Расположение дрейфовых океанографических станций за период исследований 1980–2019 гг. Линией показана изобата 200 м
F i g. 1. Location of the drifting oceanographic stations for the research period 1980–2019. The lineshows the 200 m isobath
Содержание растворенного кислорода в пробах определяли методом объемного титрования по Винклеру в модификации Карпентера [9]. Суть метода заключается в серии химических реакций, превращающих растворенный кислород в эквивалентное количество йода, который впоследствии оттитровывается раствором тиосульфата натрия. В результате получаем значения объемной концентрации растворенного кислорода (мл/л). Чтобы исключить ошибки вследствие загрязнения проб атмосферным кислородом, пробы в слое воды с низким содержанием кислорода отбирались в высушенные, продутые аргоном склянки с узким горлом. Методика позволяет получить результаты с точностью ±0,010 мл/л (±0,4 мкмоль/л). Степень насыщения кислородом (%) рассчитывалась с использованием формулы Вейса [10]:

где C – растворимость кислорода при общем давлении в 1 атм. с учетом давления насыщенного водяного пара, мл/л; А(1,2,3,4) и В(1,2,3) – константы (А1 = –173,4292; А2 = 249,6339; А3 = 143,3483; А4 = –21,8492; В1 = –0,033096; В2 = 0,014259; В3 = –0,0017); Т – абсолютная температура, К; S – соленость, ‰. Для анализа были отобраны данные для глубоководной части Черного моря с глубинами более 200 м за 1980–2019 гг. (рис. 1).
Из данных каждой экспедиции были отбракованы значения концентрации кислорода, которые характеризовались случайными выбросами и не соответствовали особенностям в распределении остальных гидрологических и гидрохимических параметров. Далее были рассчитаны средние профили температуры, солености, концентрации кислорода, процента насыщения вод кислородом, концентрации нитратов относительно шкалы условной плотности. Осреднение проводилось методом обратных расстояний с последующим дополнительным сглаживанием методом низкочастотной фильтрации [11].
Поскольку распределение гидрохимических параметров в глубоководной части является изопикническим в течение всего года, за исключением особых случаев интенсивной зимней вентиляции пикноклина [12–15], это дает возможность проводить осреднение гидрохимических данных по всей площади моря и временны́ м интервалам при использовании шкалы условной плотности вместо шкалы глубин. Для анализа величины первичной продукции были использованы данные судовых измерений концентрации хлорофилла а, полученные флуорометрическим методом, за 1980–2001 гг., а также данные о поверхностной концентрации хлорофилла а, полученные с помощью дистанционного зондирования сканерами цвета SeaWiFS и MODIS-Aqua, за 1998–2019 гг. Концентрация хлорофилла а в поверхностном слое моря была рассчитана с помощью биогеохимической модели океана NASA (англ. NASA Ocean Biogeochemical Model, сокр.NOBM) (URL: https://giovanni.gsfc.nasa.gov/giovanni/). В работах [16–21] показана высокая корреляция данных судовых измерений концентрации хлорофилла а и спутниковых данных в глубоководной части Черного моря. Коэффициент корреляции по всему массиву данных составил 0,94–0,96, что свидетельствует о хорошем согласии измеренной и рассчитанной концентраций хлорофилла а. Согласно литературным данным, концентрации хлорофилла а, полученные с помощью стандартного алгоритма NASA, как правило, являются завышенными в 1,7–2,1 раза [17–21]. Поэтому данные о концентрации хлорофилла а, рассчитанные на ресурсе Giovanni (URL: https://giovanni.gsfc.nasa.gov/giovanni/), были скорректированы. Расчет величины первичной продукции производился по регрессионным уравнениям вида y = a + bx (предложенным А. Б. Демидовым в [22]), связывающим первичную продукцию в столбе воды с концентрацией поверхностного хлорофилла (таблица). Полученные для приведенных в таблице регрессий коэффициенты корреляции (0,69–0,87) оказались достоверными при высоких уровнях значимости (p ˂ 0,01) [22].

П р и м е ч а н и е. S. E. – стандартная ошибка свободного члена а и коэффициента регрессии b;
N – число измерений; r – коэффициент корреляции; m – ошибка регрессии; F – показатель вариабельности y при определенном х.
N o t e: S. E. is a standard error of the absolute term a and the regression coefficient b; N is the number of measurements; r is the correlation coefficient; m is the regression error; F is the variability indicator y at a certain x
Результаты и их обсуждение
Динамика распределения кислорода и сероводорода относительно условной плотности в водах Черного моря за последние 40 лет показана на рис. 2.
Середина 1980-х гг. характеризовалась низкими значениями температуры ХПС и высокой интенсивностью его вентиляции [23, 24], а также высоким уровнем холодозапаса [4], что должно было обеспечить высокий уровень запаса кислорода. Однако интенсификация первично-продукционных процессов фитопланктона в этот период привела к расходованию кислорода на окисление увеличившегося потока органического вещества. В результате чего верхняя граница субкислородной зоны, определяемая по положению изооксигены 10 мкмоль/л, стала подниматься и в 1987 г. располагалась на глубине залегания условной плотности σt = 15,6 (рис. 2).
Затем ряд холодных зим конца 1980-х – начала 1990-х гг. способствовал заглублению верхней границы субкислородной зоны до положения изопикнической поверхности σt = 15,8. Дальнейшие колебания положения верхней границы субкислородной зоны могли быть вызваны как изменениями величины первичной продукции, так и физическими факторами. В 2005 г. для ХПС характерна слабая интенсивность обновления [25], что привело к подъему границы субкислородной зоны. Очень сильная вентиляция ХПС в 2012 г. обусловила опускание границы до глубины залегания σt = 15,85. В последующие годы (2013–2015) интенсивность вентиляции была ниже климатической нормы, что способствовало поднятию границы субкислородной зоны до σt = 15,5 в 2015 г.

Р и с. 2. Положение границ субкислородной зоны в глубоководной части Черного моря по многолетним данным
F i g. 2. Location of the suboxic zone boundaries in the deep part of the Black Sea based on the multiyear data

Р и с. 3. Вертикальное распределение концентрации кислорода (а) и степени насыщения вод кислородом (b) в глубоководной части Черного моря (линиями обозначены средние профили для каждой экспедиции)
F i g. 3. Vertical distribution of the oxygen concentration (a) and the degree of water saturation with oxygen (b) in the deep-part of the Black Sea (the lines indicate the average profiles for each expedition)
До середины 1980-х гг. отмечалось значительное уменьшение концентрации кислорода в слое оксиклина (рис. 3), что объяснялось увеличением потока органического вещества из зоны фотосинтеза вследствие роста первичной продукции фитопланктона [6, 26], которая достигла максимальной величины к началу 1990-х гг. [27]. Однако холодные зимы начала 1990-х [4, 23, 24] привели к увеличению концентрации кислорода в слое оксиклина (рис. 3). Дальнейшее уменьшение концентрации кислорода в слое основного пикноклина может быть связано как с увеличением первичной продукции [7], так и с уменьшением интенсивности вентиляции и повышением температуры вод [3, 4]. Запас кислорода в слое основного пикноклина Черного моря и положение верхней границы субкислородной зоны зависят как от скорости окисления органического вещества, так и от интенсивности вентиляции верхних слоев в зимний период года. По рассчитанным нами данным о величине годовой первичной продукции видно, что в первой половине 1980-х гг. был значительный рост до 400 г С/м2·год, с 1985 по 1995 г. она снизилась в среднем до ~140 г С/м2·год и начиная с 1998 г. и по настоящее время находится на уровне ~100 г С/м2·год (рис. 4). Полученные расчетные данные хорошо согласуются с данными о межгодовых изменениях величины годовой первичной продукции, приведенных в литературе [22, 27].

Р и с. 4. Среднегодовая величина первичной продукции для глубоководной части Черного моря, рассчитанная по регрессионным уравнениям (для каждой точки показано среднеквадратичное отклонение)
F i g. 4. Average annual value of primary production for the deep part of the Black Sea calculated using the regression equations (standard deviation is shown for each point)
Первично-продукционные процессы обеспечивают поступление органического вещества в воду глубоководной части моря. Эти процессы определяют включение углерода и биогенных элементов в биохимические циклы морских экосистем.
По литературным данным известно, что значительное поступление биогенных веществ со стоком рек в Черное море в 70–80-х гг. [28–30] привело к увеличению интенсивности первично-продукционных процессов (эвтрофикации моря), увеличению потока взвешенного органического вещества из фотического слоя в более глубокие слои вод моря, интенсивному потреблению кислорода (см. рис. 3) и увеличению концентрации нитратов в их глубинном максимуме более чем в четыре раза [6, 31] (рис. 5). В середине 80-х – начале 90-х гг. благодаря ряду холодных зим произошла интенсификация вертикальных потоков в водной толще [6, 32]. Это способствовало значительному подъему основного пикноклина [33], а также увеличению поступления биогенных веществ из глубины через ХПС в эвфотический слой в теплое время года вследствие усиления турбулентной и адвективной составляющих в общем потоке нитратов [31]. Эти процессы привели к интенсивному развитию фитопланктона и образованию органического вещества в глубоководной части Черного моря. Однако к началу 2000-х гг. [30] снижение потока соединений азота с речными водами из береговых источников провело к уменьшению содержания нитратов в слое основного пикноклина и снижению влияния биогеохимических процессов потребления кислорода на его содержание и распределение в водах моря

Р и с. 5. Вертикальное распределение концентрации нитратов по многолетним данным (линиями обозначены средние профили для каждой экспедиции)
F i g. 5. Vertical distribution of the nitrate concentration based on the multi-year data (the lines indicate the average profiles for each expedition)
На рис. 5 видно, что в конце 1960-х гг. концентрация нитратов в максимуме составляла 2–3 мкмоль/л. К середине 1980-х гг. она увеличилась в среднем в четыре раза и в 1984 г. составляла в среднем ~ 8 мкмоль/л, в начале 1990-х гг. концентрация нитратов находилась в пределах 9–10 мкмоль/л. Затем произошло сокращение максимальной концентрации: в 1994 г. она составила ~ 5 мкмоль/л и к 2004 г. практически не изменилась. В последнее десятилетие концентрация нитратов в слое максимума сокращается и находится в пределах 2–3 мкмоль/л (рис. 5).
Таким образом, имеющиеся данные о динамике величины первичной продукции (рис. 4) и вертикальном распределении нитратов в слое основного пикноклина (рис. 5) показывают, что биогеохимические процессы характеризуются постоянством и невысокой интенсивностью по сравнению с периодом эвтрофикации 1980-х гг. Из этого следует, что динамика распределения кислорода в современный период должна в значительной степени определяться изменениями интенсивности вентиляции вод, в первую очередь в зимний период. Согласно литературным данным о декадных изменениях термохалинных характеристик верхнего слоя вод Черного моря, в 2001–2008 гг. происходит увеличение температуры поверхности моря и воды холодного промежуточного слоя в среднем на 1–1,5 °С [23, 34, 35]. Согласно [23], максимальная температура ХПС по зимним данным отмечается в 1960-е гг. и в 2001–2008 гг., минимальная – в 1980-е гг. Летняя температура на этом горизонте во все десятилетние периоды до 2008 г. не превышает 8 °С. С 1970-х до 1990-х гг. увеличивался объем вод ХПС и наблюдался подъем его ядра ближе к поверхности моря (в среднем по морю на 10 м). При этом температура в ядре упала до зна-
чений ниже 7 °С. В 1990-е гг. отмечалось наиболее высокое положение верхней границы ХПС (40 м). С середины 1990-х гг. температура вод в ХПС возрастала. По современным данным, начиная с 2008 г. средняя температура вод ядра ХПС превышает 8 °С (рис. 6).

Р и с. 6. Температура в ядре ХПС по первичным данным, осредненным за период с мая по ноябрь [25]. Отрезками изображен разброс значений, соответствующий ±1 СКО, штриховая линия соответствует полиномиальной аппроксимации
F i g. 6. Temperature in the CIL core based on the primary data averaged over the period May – November [25]. Segments show dispersion of the values corresponding to ± 1 standard deviation, the dashed line corresponds to the polynomial approximation
Пониженная интенсивность обновления вод ХПС [25] и снижение уровня их холодозапаса [4] на современном этапе (2008–2019 гг.) приводят к снижению концентрации кислорода в ядре ХПС (рис. 7). В период интенсивной эвтрофикации глубоководной части Черного моря (вторая половина 1980-х – начало 1990-х гг.) и в постэвтрофикационный период (вторая половина 1990-х – первая половина 2000-х гг.) концентрация кислорода была относительно стабильной и в среднем колебалась в пределах 250 ± 25 мкмоль/л, а степень насыщения вод кислородом составляла 70–80 %. После 2005 г. в ядре ХПС наблюдается постепенное снижение концентрации кислорода до 175 ± 25 мкмоль/л, а степени насыщения – до 40–60 %.

Р и с. 7. Многолетние изменения концентрации кислорода (а) и степени насыщения кислородом (b) в слое минимума температуры
F i g. 7. Multi-year changes in the oxygen concentration (a) and the degree of water oxygen saturation (b) in the layer of minimum temperature
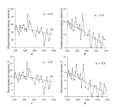
Это неизбежно приводит к снижению запаса кислорода и в более глубинных слоях – и на глубине залегания центральной части оксиклина (σt = 15,4), и на глубине залегания верхней границы субкислородной зоны (σt = 15,8) (рис. 8).
Снижение концентрации кислорода в ХПС приводит к уменьшению градиента кислорода в слое оксиклина и, как результат, к сокращению физического потока кислорода из ХПС в глубинные слои, что приводит к сдвигу верхней границы субкислородной зоны на меньшие глубины. Запас кислорода в слое основного пикноклина определяется соотношением направленного из ХПС потока кислорода, обусловленного интенсивностью вентиляции в зимний период года, и скорости расходования кислорода на окисление органического вещества, поступающего в результате первичного продуцирования фитопланктона. Зависимость концентрации кислорода от температуры является практически линейной (рис. 9), и снижение запаса кислорода во второй половине 1980-х – начале 1990-х гг. свидетельствует об увеличении потока оседающего органического вещества в результате эвтрофикации черноморской экосистемы, поскольку значения температуры в этот период свидетельствуют об интенсивной вентиляции вод [26].

Р и с. 8. Многолетние изменения концентрации кислорода (а, b) и насыщения вод кислородом (c, d) в слое оксиклина (а, c) и в субкислородной зоне (b, d)
F i g. 8. Multi-year changes in the oxygen concentration (a, b) and water saturation with oxygen (c, d) in the oxycline layer (a, c) and in the suboxic zone (b, d)
Для 2010 г. характерно самое низкое содержание кислорода в слое основного пикноклина при высоких значениях температуры в этом слое, что свидетельствует о снижении интенсивности вентиляции и сокращении физического потока кислорода из верхних слоев (рис. 9). Однако начиная с 2010 г. наблюдается постепенный рост содержания кислорода в средней части основного пикноклина. Концентрация кислорода увеличивается с 5 мкмоль/л в 2010 г. до 45 мкмоль/л в 2020 г., несмотря на продолжающееся увеличение температуры в этом слое вод моря. Более того, данные 2019–2020 гг. о содержани кислорода указывают на то, что Черное море как единая система приближается по своим характеристикам к состоянию, характерному для периода до начала эвтрофикации в начале 1970-х г. Из этого следует, во-первых, что в Черном море заканчивается процесс дистрофикации, элиминирующий результат антропогенной эвтрофикации, а во-вторых, что динамика кислорода в водах моря в современный период определяется интенсивностью и динамикой гидродинамических процессов вентиляции вод.

Р и с. 9. Т-О-диаграмма вод Черного моря на глубине залегания средней части основного пикноклина (σt = 15,4) по многолетним данным
F i g. 9. T-O-diagram of the Black Sea waters at the depth of the mid part of the main pycnocline (σt = 15.4) based on the multi-year data
По рассчитанным данным о величине годовой первичной продукции видно, что в первой половине 1980-х гг. был ее значительный рост до 400 г С/м2·год, в период с 1985 по 1995 г. она снизилась в среднем до ~ 140 г С/м2·год и начиная с 1998 г. по настоящее время находится на уровне ~ 100 г С/м2·год. Такой ход величин первичной продукции соответствует наблюдаемым из- менениям в вертикальном распределении нитратов как одного из основных продуктов окисления оседающего органического вещества в слое основного пикноклина и оксиклина. Концентрация нитратов в максимуме увеличилась с 2–3 мкмоль/л в 1969 г. до 10–12 мкмоль/л в 1991 г., а затем снизилась до 2– 3 мкмоль/л в настоящее время. Это подтверждает факт дистрофикации, которая практически элиминировала результат антропогенной эвтрофикации Черного моря 1980-х гг.
На фоне тенденции к увеличению температуры верхних слоев водной толщи и снижению интенсивности зимнего конвективного перемешивания наблюдается снижение запаса кислорода во всех слоях аэробной зоны Черного моря. Это привело к тому, что в 2010 г. наблюдалось самое низкое содержание кислорода за весь период наблюдений.
Вместе с тем процесс дистрофикации способствовал возвращению системы Черного моря к своему естественному состоянию, когда динамика кислорода определяется в основном изменчивостью интенсивности физической вентиляции вод.
1. Declining oxygen in the global ocean and coastal waters / D. Breitburg [et al.] // Science. 2018. Vol. 359, iss. 6371. eaam 7240. P. 1–11. doihttps://doi.org/10.1126/science.aam7240
2. Vidnichuk A. V., Konovalov S. K. Changes in the oxygen regime in the deep part of the Black Sea in 1980–2019 // Physical Oceanography. 2021. Vol. 28, iss. 2. P. 180–190. doihttps://doi.org/10.22449/1573-160X-2021-2-180-190
3. Decline of the Black Sea oxygen inventory / A. Capet [et al.] // Biogeosciences. 2016. Vol. 13, iss. 4. P. 1287–1297. https://doi.org/10.5194/bg-13-1287-2016
4. Capet A., Vandenbulcke L., Grégoire M. A new intermittent regime of convective ventilation threatens the Black Sea oxygenation status // Biogeosciences. 2020. Vol. 17, iss. 24. P. 6507– 6525. https://doi.org/10.5194/bg-17-6507-2020
5. Агатова А. И. Органическое вещество в морях России. М. : Издательство ВНИРО, 2017. 260 c. URL: http://www.vniro.ru/files/publish/agatova_org_veshestvo.pdf (дата обращения: 17.11.2021).
6. Konovalov S. K., Murray J. W. Variations in the chemistry of the Black Sea on a time scale of decades (1960–1995) // Journal of Marine Systems. 2001. Vol. 31, iss. 1–3. P. 217–243. https://doi.org/10.1016/S0924-7963(01)00054-9
7. Юнев О. А., Коновалов С. К., Великова В. Антропогенная эвтрофикация в пелагической зоне Черного моря: долговременные тренды, механизмы, последствия. М. : ГЕОС, 2019. 164 с. doihttps://doi.org/10.34756/GEOS.2019.16.37827
8. Банк океанографических данных Морского гидрофизического института: информационные ресурсы для поддержки исследований прибрежной зоны Черного моря / А. Х. Халиулин [и др.] // Экологическая безопасность прибрежных и шельфовых зон моря. 2016. Вып. 1. С. 90‒96.
9. Eremeev V. N., Konovalov S. K., Romanov A. S. The distribution of oxygen and hydrogen sulfide in Black Sea waters during winter-spring period // Physical Oceanography. 1998. Vol. 9, iss. 4. P. 259–272. https://doi.org/10.1007/BF02522712
10. Weiss R. F. The solubility of nitrogen, oxygen and argon in water and seawater // Deep Sea Research and Oceanographic Abstracts. 1970. Vol. 17, iss. 4. P. 721–735. https://doi.org/10.1016/0011-7471(70)90037-9
11. Демьянов В. В., Савельева Е. А. Геостатистика: теория и практика / Под ред. Р. В. Арутюняна. М. : Наука, 2010. 327 с. URL: https://www.geokniga.org/bookfiles/geokniga-geostatistika-teoriya-i-praktika.pdf (дата обращения: 17.11.2021).
12. Виноградов М. Е., Налбандов Ю. Р. Влияние изменений плотности воды на распределение физических, химических и биологических характеристик экосистемы пелагиали Черного моря // Океанология. 1990. Т. 30, № 5. С. 769–777.
13. Chemical variability in the Black Sea: implications of continuous vertical profiles that penetrated the oxic/anoxic interface / L. A. Codispoti [et al.] // Deep Sea Research Part A. Oceanographic Research Papers. 1991. Vol. 38, suppl. 2. P. S691–S710. https://doi.org/10.1016/S0198-0149(10)80004-4
14. Eremeev V. N., Konovalov S. K., Romanov A. S. Investigation of the formation of vertical structure of biogenic elements fields in the Black Sea, using the method of spatial isopycnic analysis // Physical Oceanography. 1997. Vol. 8, iss. 6. P. 389–402. https://doi.org/10.1007/BF02523811
15. Современное представление о вертикальной гидрохимической структуре редокс-зоны Черного моря / Е. В. Якушев [и др.] // Комплексные исследования северо-восточной части Черного моря / Отв. ред. А. Г. Зацепин, М. В. Флинт. М. : Наука, 2002. C. 119–132.
16. Кукушкин А. С., Пархоменко А. В. Оценка применимости спутниковых данных для исследования изменчивости содержания взвешенного органического вещества в поверхностном слое Черного моря // Современные проблемы дистанционного зондирования Земли из космоса. 2018. Т. 15, № 1. С. 195–205. doihttps://doi.org/10.21046/2070-7401-2018-15-1-195- 205
17. Концентрация пигментов фитопланктона в северо-западной части Черного моря по данным измерений спутниковым цветовым сканером SZCS / В. С. Суетин [и др.] // Морской гидрофизический журнал. 2000. № 2. С. 74–82.
18. Suslin V., Churilova T. A regional algorithm for separating light absorption by chlorophyll-a and coloured detrital matter in the Black Sea, using 480–560 nm bands from ocean colour scanners // International Journal of Remote Sensing. 2016. Vol. 37, iss. 18. Р. 4380–4400. http://doi.org/10.1080/01431161.2016.1211350
19. Application of SeaWiFS data for studying variability of bio-optical characteristics in the Barents, Black and Caspian Seas / O. V. Kopelevich [et al.] // Deep Sea Research Part II: Topical Studies in Oceanography. 2004. Vol. 51, iss. 10–11. P. 1063–1091. https://doi.org/10.1016/j.dsr2.2003.10.009
20. Концентрация хлорофилла-а в Черном море: сравнение спутниковых алгоритмов / В. В. Суслин [и др.] // Фундаментальная и прикладная гидрофизика. 2018. Т. 11, № 3. С. 64–72. doihttps://doi.org/10.7868/S2073667318030085
21. Копелевич О. В., Буренков В. И., Шеберстов С. В. Разработка и использование региональных алгоритмов для расчета биооптических характеристик морей России по данным спутниковых сканеров цвета // Современные проблемы дистанционного зондирования Земли из космоса. 2006. Т. 3, № 2. С. 99–105.
22. Демидов А. Б. Сезонная изменчивость и оценка годовых величин первичной продукции фитопланктона в Черном море // Океанология. 2008. Т. 48, № 5. С. 718–733.
23. Полонский А. Б., Шокурова И. Г., Белокопытов В. Н. Десятилетняя изменчивость температуры и солености в Черном море // Морской гидрофизический журнал. 2013. № 6. С. 27–41.
24. Титов В. Б. Межгодовое обновление холодного промежуточного слоя в Черном море за последние 130 лет // Метеорология и гидрология. 2003. № 10. С. 68–75.
25. Belokopytov V. N. Interannual variations of the renewal of waters of the cold intermediate layer in the Black Sea for the last decades // Physical Oceanography. Vol. 20, iss. 5. P. 347–355. https://doi.org/10.1007/s11110-011-9090-x
26. Spatial and temporal variability in the chemical properties of the oxic and suboxic layers of the Black Sea / S. Tuğrul [et al.] // Journal of Marine Systems. 2014. Vol. 135. P. 29–43. https://doi.org/10.1016/j.jmarsys.2013.09.008
27. Юнев О. А. Эвтрофикация и годовая первичная продукция фитопланктона глубоководной части Черного моря // Океанология. 2011. Т. 51, № 4. С. 658–668.
28. Mee L. D. The Black Sea in crisis: a need for concerted international action // Ambio. 1992. Vol. 21, iss. 4. P. 278–286.
29. Long-term ecological changes in Romanian coastal waters of the Black Sea / A. Cociasu [et al.] // Marine Pollution Bulletin. 1996. Vol. 32, iss. 1. P. 32–38. https://doi.org/10.1016/0025-326X(95)00106-W
30. Oguz T., Gilbert D. Abrupt transitions of the top-down controlled Black Sea pelagic ecosystem during 1960–2000: Evidence for regime-shifts under strong fishery exploitation and nutrient enrichment modulated by climate-induced variations // Deep Sea Research Part I: Oceanographic Research Papers. 2007. Vol. 54, iss. 2. P. 220–242. doihttps://doi.org/10.1016/j.dsr.2006.09.010
31. Yunev O. A., Moncheva S., Carstensen J. Long-term variability of vertical chlorophyll a and nitrate profiles in the open Black Sea: eutrophication and climate change // Marine Ecology Progress Series. 2005. Vol. 294. P. 95–107. doihttps://doi.org/10.3354/meps294095
32. Temporal (seasonal and interannual) changes of ecosystem of the open waters of the Black Sea / M. E. Vinogradov [et al.] // Environmental degradation of the Black Sea: challenges and remedies. Dordrecht : Springer, 1999. P. 109–129. https://doi.org/10.1007/978-94-011-4568-8_8
33. Climatic and anthropogenic variations in the sulfide distribution in the Black Sea / S. K. Konovalov [et al.] // Aquatic Geochemistry. 1999. Vol. 5, iss. 1. P. 13–27. https://doi.org/10.1023/A:1009655502787
34. Белокопытов В. Н. Межгодовая изменчивость обновления вод холодного промежуточного слоя Черного моря в последние десятилетия // Морской гидрофизический журнал. 2010. № 5. С. 33–41.
35. Konovalov S., Belokopytov V., Vidnichuk A. Oxygen regime shifts in the Black Sea: climate and/or human effects // Морские науки и современные технологии для устойчивого развития = Marine Science and Technology for Sustainable Development : тезисы докладов 26-й международной конференции Тихоокеанского конгресса морских наук и технологий (PACON-2019), 16–19 июля 2019 г., Владивосток, Россия. Владивосток : ТОИ ДВО РАН, 2019. C. 23.



