Россия
Россия
Россия
Россия
В статье описываются результаты исследования электрических свойств цельных зёрен пшеницы, насыщенных 9% растворами NaCl и KCl, в диапазоне частот от единиц Гц до 100 МГц. Показаны отличия в частотных зависимостях диэлектрической проницаемости, тангенса диэлектрических потерь, а также электрического импенданса зерен пшеницы при наличии ионов калия и натрия.
электрический импеданс, диэлектрическая проницаемость, зерно, пшеница, ионы калия, ионы натрия
Введение
В настоящее время российский и зарубежный рынки предлагают различные технические средства косвенного контроля качества зерна, которые основаны на измерениях электрических свойств семян, электрического сопротивления и диэлектрической проницаемости [1,2]. Вместе с тем остаются вопросы, связанные с точностью реально измеряемых параметров зерна, так как необходимо учесть то, что присутствие различных ионов, в основном K, Na и Cl, может сказаться на электрических характеристиках.
В настоящей работе исследованы электрические свойства цельных зёрен пшеницы, в диапазоне частот от единиц Гц до 100 МГц. Исходная партия зерен предварительно высушивалась при комнатной температуре и затем насыщалась 9% растворами NaCl и KCl. Измерительная ячейка с образцом при комнатной температуре подключалась к анализаторам спектров Elins 1500J и Agilent E5061B, которые позволяют получать частотные зависимости импеданса и тангенса диэлектрических потерь. Показаны отличия в частотных зависимостях диэлектрической проницаемости, тангенса диэлектрических потерь, а также электрического импенданса зерен пшеницы при наличии ионов калия и натрия.
Полученные данные могут иметь значение при конструировании различных приборов для тестирования качества зерна и содержания влаги в нем.
Методы исследований
В качестве объектов исследований выбраны зерна пшеницы, которые предварительно высушивались, а затем выдерживались в 9% растворах соли NaCl и KCl. Для этого зерна помещались в герметичную емкость между двумя слоями марли, увлажненными в растворах солей. В таком состоянии они выдерживались от 1 до 2 суток. Кювета с образцами и подведенными к ней электрическими контактами была также герметично закрыта. Для количественного сравнения величины электрического сопротивления в каждом случае выбирались одинаковые по объему зерна, в кювету их помещалось 12 шт.
Для оценки тепловых потерь в диэлектрике используется величина tgδ, где δ есть угол, который дополняет сдвиг фазы φ между током и напряжением емкостной цепи до 90◦. Значение tgδ = Pa/Pr, где Pa – активная, Pr - реактивная части общей мощности электромагнитного поля. В случае идеального диэлектрика Pa = 0, Ток в такой цепи опережает напряжение на 90◦, и δ = 0. Чем больше потери, тем больше угол диэлектрических потерь и его функция tgδ. Коэффициент тепловых потерь можно выразить через:
, (1)
где
- действительная и мнимая части комплексной величины диэлектрической проницаемости,
и
- действительная и мнимая части комплексного электрического сопротивления. Для определения диэлектрической проницаемости, комплексного электрического сопротивления использовались анализаторы спектров Elins 1500J и Agilent E5061B в диапазоне от 1 Гц до 100 МГц [3,4]. Измерения проведены в Институте физики СО РАН им. Л.В. Киренского.
Результаты исследований
Диэлектрическая проницаемость зерен пшеницы в значительной мере зависит от частоты электрического поля. Как показано на рисунке 1, на частоте 5 Гц эффективное значение для образца с NаCl достигает ~ 107 и 105 с KaCl. С повышением частоты значение
снижается и на частоте 100МГц для образца с NaCl составляет 24,15, с KCl - 7,9.
Рисунок 1. Частотные зависимости диэлектрической проницаемости зерен пшеницы, вымоченных в растворах NaCL и KCl. Время выдержки 1 сутки.
На рисунке 2 показана частотная зависимость активной части комплексного сопротивления зерен пшеницы, вымоченных в растворах NaCl и KCl после выдержки в течении 1 суток.
Рисунок 2. Зависимость активной части комплексного сопротивления от частоты электрического поля зерен пшеницы, вымоченных в растворе NaCl и KCl. Время выдержки 1 сутки.
В области низких частот активное сопротивление зерен с KCl превышает величину активного сопротивления в образцах с NaCl примерно в 5 раз (на частоте 5 Гц
оно составляло 25 кОм и 5 кОм в первом и во втором случаях соответственно). С повышением частоты разница в сопротивлениях уменьшается и на частоте ~50 мГц значения
для обоих образцов выравниваются, затем наблюдается обратный эффект: сопротивление зерен с NaCl становится выше, чем у зерен с КCl.
На рисунке 3(а) приведены изменения коэффициента диэлектрических потерь от частоты электрического поля зерен, увлаженных в растворах NaCl и KCl в течении суток. Как следует из приведенных графиков, для зерен, увлажненных в растворе NaCl наблюдаются максимумы диэлектрических потерь в двух частотных диапазонах. Первая область находится в районе 100 Гц, вторая расположена выше 10кГц. Для зерен, вымоченных в растворах с KCl, имеется один максимум, который наблюдается в области 10 кГц. На рисунке 3(б) показаны те же зависимости для зерен , которые вымачивались в течение 2 суток.
Рисунок 3. Спектральная зависимость тангенса диэлектрических потерь для зерен, вымоченных в течение 1 суток (а) и 2 суток (б).
Значительный рост диэлектрической проницаемости в области низких частот может обуславливаться несколькими причинами:
- Наличием двойного электрического слоя, который образуется в результате перехода неорганических ионов, входящих в органическую структуру поверхности зерна, в жидкость . Избирательная адсорбция гидратированных ионов на поверхность твердой частицы.
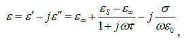
- Вкладом в значение диэлектрической проницаемости проводимости. В водных электролитических средах, к которым можно отнести растворы, входящие в структуру зерна, комплексную диэлектрическую проницаемость в упрощенном виде можно выразить как [5]:
, (2)
где ω — частота; τ — время релаксации; εS и — статическая и высокочастотная диэлектрические проницаемости, σ — ионная проводимость; ε0 - электрическая (диэлектрическая постоянная); τ - время релаксации.
Из уравнения (2) следует, что в эффективное значение диэлектрической проницаемости вносит вклад ионная проводимость, который становится значительным при ω 0, это приводит к столь значительной величине
(как отмечено выше, на частоте 5 Гц эффективная величина
достигает ~ 107). С повышением частоты разница в значениях
между образцами уменьшается, но она существует и на предельной частоте 120 МГц, которая использовалась в эксперименте. Значения высокочастотной диэлектрическая проницаемости
для образцов с NaCl и KCl, которые соответственно равны 24,1 и 7,9, выше значения
зерен, вымоченных в дистиллированной воде, в таких зернах ее значение составляет ~ 5 [3].
Релаксационные свойства электролитических растворов определяются коэффициентом диэлектрических потерь . Дисперсионную зависимость
можно определить из (1) и (2), и согласно этим уравнениям наибольшая величина потерь поглощаемой энергии наблюдается на частоте
, где
- время релаксации.
Значительные отличия в дисперсионной зависимости зерен с NaCl и KCl и времен релаксации, что следует из рисунка 3(а), указывают на то, что процессы поглощения электромагнитной энергии в этих образцах протекают не схожим образом. Возможное объяснение полученного результата заключается в специфике распределения ионов K и Na в клетках зерна. Согласно имеющимся данным [6], в то время как ионы К распределены преимущественно внутри клетки, ионы Na активно выталкиваются из клетки в межклеточное пространство. Поэтому, при протекании переменного тока через биологическую ткань зерна с разным содержанием ионов K и Na в дисперсионной зависимости коэффициента потерь области максимальной релаксации расположены в разных частотных диапазонах.
В заключении можно сказать, что частотные зависимости электрических характеристик зерен пшеницы связаны с особенностями внедрения ионов Na и K в клетки зерна. Полученные данные указывают на то что электрические свойства увлажненных зерен пшеницы во многом определяются составом ионов, входящих в биоструктуру зерна. Этот факт необходимо учитывать при конструировании различных электрофизических устройств, определяющих качество зерна, в том числе и влажность.
1. Funk, D. B. Unified moisture algorithm for improved RF dielectric grain moisture measurement / D. B. Funk, Z. Gillay, P. Meszaros. // Measurement Science and Technology. – 2007. Vol. 18, № 4. – P. 1004–1015. DOI:https://doi.org/10.1088/0957-0233/18/4/007.
2. Nelson, S. O. Use of material dielectric properties for agricultural applications / S. O. Nelson, S. Trabelsi // Journal of Microwave Power and Electromagnetic Energy. – 2016. – Vol. 50 (4). – P. 237–268. DOI:https://doi.org/10.1080/08327823.2016.1247235.
3. Чжан, А. В. Метод импедансной спектроскопии для тестирования увлажненных зерен пшеницы / А. В. Чжан, Н. А. Дрокин, Н. М. Ничкова, Ж. М. Мороз // Вестник Новосибирского ГАУ. – 2022. – № 2 (63). – С. 59–68. – DOIhttps://doi.org/10.31677/2072-6724-2022-63-2-59-68.
4. Чжан, А. В. Особенности спектральных характеристик электрического импеданса увлажненных зерен пшеницы / А. В. Чжан, Н. А. Дрокин, Н. М. Ничкова, Ж. М. Мороз // Успехи современного естествознания. – 2022. – № 5. – С. 34–38. – DOI:https://doi.org/10.17513/use.37821.
5. Айген, М. Теоретическая основа релаксационной спектроскопии / М. Айген, Л. Мейер // Методы исследования быстрых реакций. – М.: Мир, 1977. – С. 79–172.
6. Кларксон, Д. Транспорт ионов и структура растительной клетки: монография / Д. Кларксон. – М.: Мир, 1978. – 368 с.



